指南生活
首页
美食营养
手工爱好
生活家居
返回
指南生活
首页
美食营养
游戏数码
手工爱好
生活家居
健康养生
运动户外
职场理财
情感交际
母婴教育
时尚美容
知识问答
生活知识
生活百科
搜索
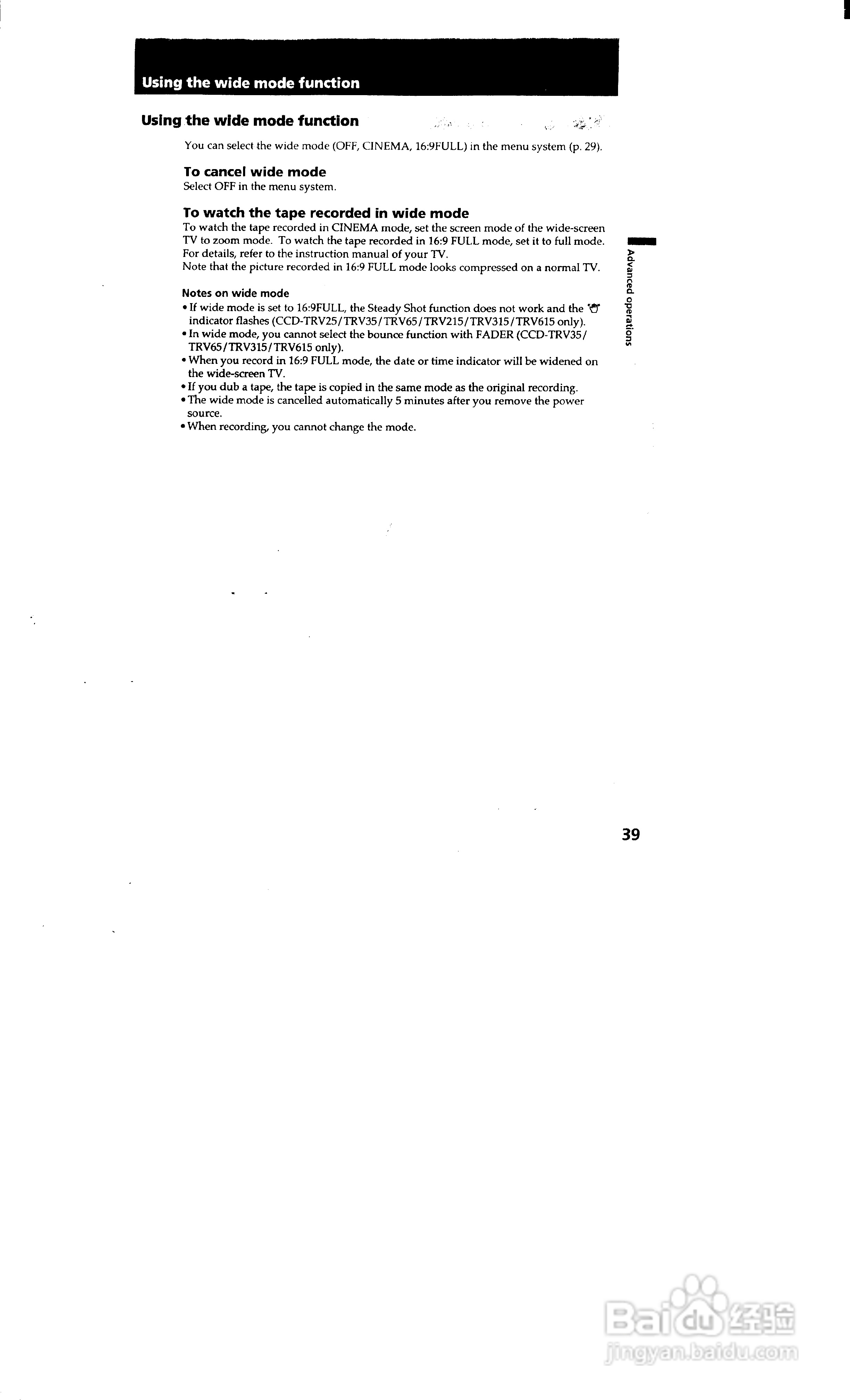
索尼CCD-TRV25模拟摄像机说明书:[4]
2026-03-23 00:40:25
本篇为《索尼CCD-TRV25模拟摄像机说明书》,主要介绍该产品的使用方法以及常见故障解决方案。
(共篇)
上一篇:
|
下一篇:
声明:
本网站引用、摘录或转载内容仅供网站访问者交流或参考,不代表本站立场,如存在版权或非法内容,请联系站长删除,联系邮箱:site.kefu@qq.com。
相关推荐
索尼CCD-TRV25模拟摄像机说明书:[5]
阅读量:79
索尼CCD-TRV25模拟摄像机说明书:[6]
阅读量:123
模拟摄像机和网络监控摄像机画面嵌入网页直播
阅读量:134
索尼CCD-TRV25模拟摄像机说明书:[3]
阅读量:179
索尼CCD-TRV25模拟摄像机说明书:[8]
阅读量:112
猜你喜欢
快递未妥投是什么意思
亚硝酸盐是什么
什么是方法论
引人入胜是什么意思
插件是什么
萝卜泡菜的腌制方法
滞留票是什么意思
文竹的养殖方法和注意事项
umbrella什么意思
4s是什么意思
猜你喜欢
shadow是什么意思
苏打水有什么作用
520什么意思
运动会加油稿跳远
养殖牛
loading是什么意思
dwg是什么文件
五脊六兽什么意思
gj是什么意思
隆科多和太后什么关系