标准正态分布的平方方差为什么是2
解答如下:
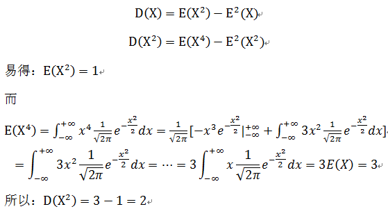
设X~N(0,1)

标准正态分布又称为u分布,是以0为均数、以1为标准差的正态分布,记为N(0,1)。
标准正态分布曲线下面积分布规律是:在-1.96~+1.96范围内曲线下的面积等于0.9500,在-2.58~+2.58范围内曲线下面积为0.9900。统计学家还制定了一张统计用表(自由度为∞时),借助该表就可以估计出某些特殊u1和u2值范围内的曲线下面积。
扩展资料:
由于一般的正态总体其图像不一定关于y轴对称,对于任一正态总体,其取值小于x的概率。只要会用它求正态总体在某个特定区间的概率即可。
为了便于描述和应用,常将正态变量作数据转换。将一般正态分布转化成标准正态分布。
服从标准正态分布,通过查标准正态分布表就可以直接计算出原正态分布的概率值。故该变换被称为标准化变换。(标准正态分布表:标准正态分布表中列出了标准正态曲线下从-∞到X(当前值)范围内的面积比例。)
参考资料来源:百度百科--标准正态分布
声明:本网站引用、摘录或转载内容仅供网站访问者交流或参考,不代表本站立场,如存在版权或非法内容,请联系站长删除,联系邮箱:site.kefu@qq.com。
阅读量:105
阅读量:188
阅读量:146
阅读量:122
阅读量:47