1+cosx^2分之一的不定积分是什么
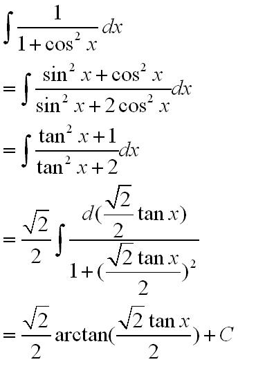
解题过程如下图:

不定积分的公式:
1、∫adx=ax+C,a和C都是常数
2、∫x^adx=[x^(a+1)]/(a+1)+C,其中a为常数且a≠-1
3、∫1/xdx=ln|x|+C
4、∫a^xdx=(1/lna)a^x+C,其中a>0且a≠1
5、∫e^xdx=e^x+C
6、∫cosxdx=sinx+C
7、∫sinxdx=-cosx+C
8、∫cotxdx=ln|sinx|+C=-ln|cscx|+C
声明:本网站引用、摘录或转载内容仅供网站访问者交流或参考,不代表本站立场,如存在版权或非法内容,请联系站长删除,联系邮箱:site.kefu@qq.com。
阅读量:45
阅读量:170
阅读量:194
阅读量:59
阅读量:113