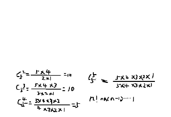
c5取2怎么算?
1、C(5,2)的意思是从5个中任选2个的组合数,那么计算如下:C(5,2)=(5×4)/(2×1)=20/2=10。

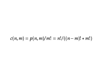
2、组合数公式:c(n,m)=p(n,m)/m!=n!/((n-m)!*m!).我们遇到其他的组合数也可以应用这个公式。

3、在公式中:从n个不同的元素中每次取出m个不同的元素(0≤m≤n),不管其顺序合成一组,称之为从n个元素中不重复的选取m个元素的组合。

4、加法乘法两个原理,贯穿始终的法则。与序无关是组合,要求有序为排列。两个公式两性质,两种思想于方法。归纳出排列组合,应用问题须转化。

5、排列组合在一起,先选后排为常理。特殊元素和位置,首先注意勤考虑。不重不漏多思考,捆绑插空为技巧。排列组合恒等式,定义证明建模试。

1、1.了解组合数。
2.掌握公式。
3.会应用组合数。
声明:本网站引用、摘录或转载内容仅供网站访问者交流或参考,不代表本站立场,如存在版权或非法内容,请联系站长删除,联系邮箱:site.kefu@qq.com。
阅读量:134
阅读量:158
阅读量:49
阅读量:191
阅读量:188