x平方-5x-6=0怎么解
1、首先判断该方程有无实数根。
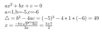
如图所示,求出判别式的值为49,大于0,所以此方程有两个不同实数根。

2、然后根据求根公式求出方程的根。
如图所示,方程的解为-1和6.

1、根据带括号乘法运算规律,如图所示,若x_1和x_2为方程ax^2+bx+c=0(a非0)的根,则x_1+x_2=-b/a,x_1*x_2=c/a,即为韦达定理。

2、代入系数可得如图所示,由于两个解的和与积皆为整数,两个解也是整数。将两个解的积进行分解,得-6=-1*6=-6*1=-2*3=-3*2,分别代入求和,发现只有-1和6是解时,两个解的和为5。
所以方程的解时-1和6.

声明:本网站引用、摘录或转载内容仅供网站访问者交流或参考,不代表本站立场,如存在版权或非法内容,请联系站长删除,联系邮箱:site.kefu@qq.com。
阅读量:138
阅读量:23
阅读量:123
阅读量:101
阅读量:143