指南生活
首页
美食营养
手工爱好
生活家居
返回
指南生活
首页
美食营养
游戏数码
手工爱好
生活家居
健康养生
运动户外
职场理财
情感交际
母婴教育
时尚美容
知识问答
生活知识
生活百科
搜索
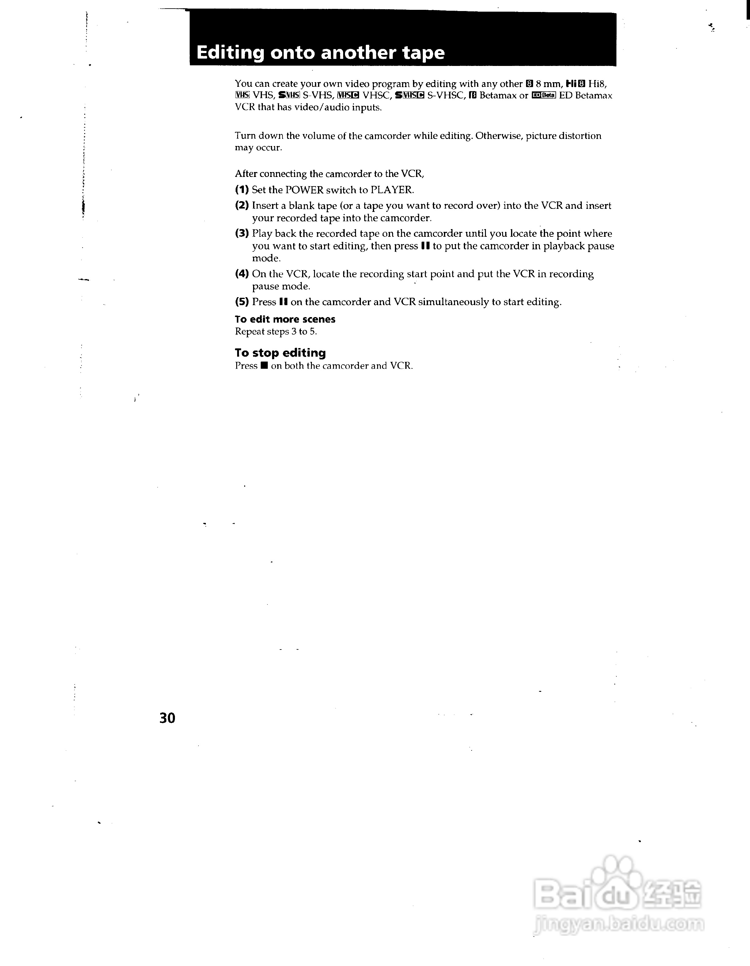
索尼CCD-TRV22模拟摄像机说明书:[3]
2026-05-05 07:30:55
本篇为《索尼CCD-TRV22模拟摄像机说明书》,主要介绍该产品的使用方法以及常见故障解决方案。
(共篇)
上一篇:
|
下一篇:
声明:
本网站引用、摘录或转载内容仅供网站访问者交流或参考,不代表本站立场,如存在版权或非法内容,请联系站长删除,联系邮箱:site.kefu@qq.com。
相关推荐
ps设计照片转漫画效果!
阅读量:85
PHOTOSHOP中改进IOS设计流程的30个诀窍
阅读量:160
Photoshop中光泽样式的选择和介绍
阅读量:67
非常有用的喝酒和醒酒方法
阅读量:23
Photoshop CC 新功能智能锐化
阅读量:105
猜你喜欢
毕业论文致谢怎么写
电话会议怎么用
得了乙肝怎么办
颈部淋巴结肿大怎么办
安盛天平保险怎么样
胃热是怎么回事
老师英文怎么写
人力资源证书怎么考
脚肿了怎么消肿
ppt怎么加背景图片
猜你喜欢
手上起小水泡是怎么回事
宝宝缺钙怎么补
新闻标题怎么写
头发怎么长的快
怎么订机票便宜
微信在电脑上怎么登陆
创维电视质量怎么样
个人事迹怎么写
颈椎怎么按摩
win10怎么玩红警