指南生活
首页
美食营养
手工爱好
生活家居
返回
指南生活
首页
美食营养
游戏数码
手工爱好
生活家居
健康养生
运动户外
职场理财
情感交际
母婴教育
时尚美容
知识问答
生活知识
搜索
索尼CCD-TRV12模拟摄像机说明书:[3]
2025-12-12 16:27:36
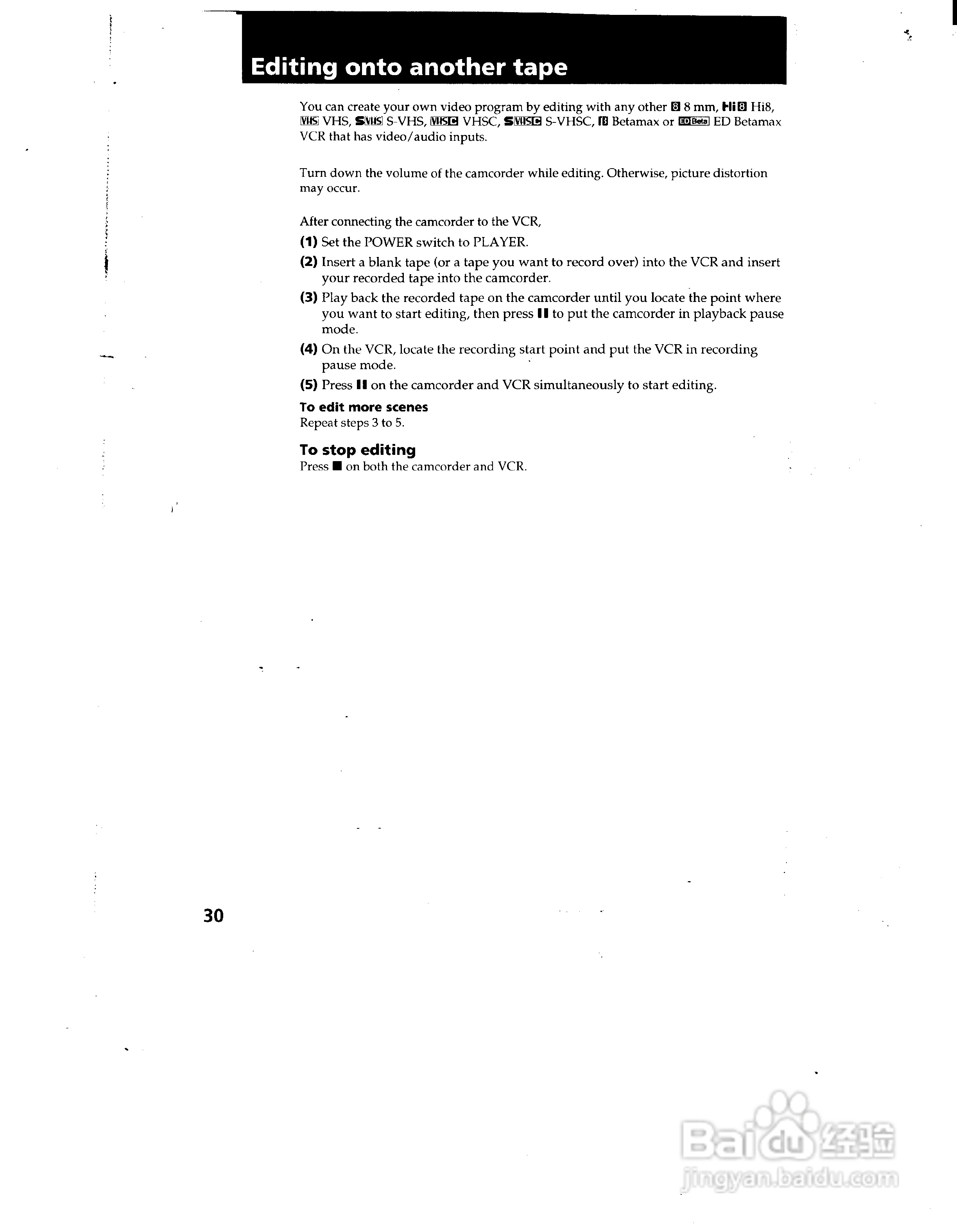
本篇为《索尼CCD-TRV12模拟摄像机说明书》,主要介绍该产品的使用方法以及常见故障解决方案。
(共篇)
上一篇:
|
下一篇:
声明:
本网站引用、摘录或转载内容仅供网站访问者交流或参考,不代表本站立场,如存在版权或非法内容,请联系站长删除,联系邮箱:site.kefu@qq.com。
相关推荐
索尼CCD-TRV12模拟摄像机说明书:[6]
阅读量:150
索尼CCD-TRV312模拟摄像机说明书:[3]
阅读量:143
索尼CCD-TRV315模拟摄像机说明书:[3]
阅读量:106
索尼CCD-TRV211模拟摄像机说明书:[3]
阅读量:116
模拟摄像机和网络监控摄像机画面嵌入网页直播
阅读量:160
猜你喜欢
缺铁性贫血怎么补最快
100种简单早餐做法大全
车贷利息怎么算
荻怎么读
头晕怎么回事
wifi密码怎么改
微信怎么拍一拍
水样白带是怎么回事
地下室外墙防水做法
巴瑶族为什么不能上岸
猜你喜欢
水汆牛肉丸子的做法
各种奶茶的做法
承诺书怎么写
剁椒鱼头怎么做
怎么样才能长高
手机卡怎么办
腌白萝卜的做法大全
12dora为什么被禁
羊肉炖胡萝卜的做法
獾怎么读