举例有哪些非初等函数
例如右侧的函数:

同时取整函数(向下取整函数):

却不是初等函数。它的取值规定为距离

最近的整数,例如:


非初等函数是指凡不是初等函数的函数。非初等函数的研究与发展是近现代数学的重大成就之一,极大拓展了数学在各个领域的应用,在概率论、物理学科各个分支中等有十分广泛的应用。是函数的一个重要的分支。
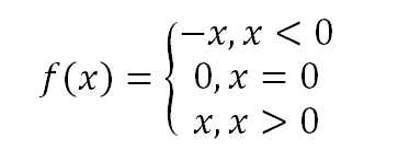
一般说来,大部分分段函数不是初等函数。如符号函数,狄利克雷函数,gamma函数,误差函数,Weierstrass函数。但是个别分段函数除外,例如右侧的函数:

由于此时


,
是由函数

,

复合而成的,所以该函数为初等函数。
然而同时取整函数(向下取整函数):

却不是初等函数。它的取值规定为距离

最近的整数,例如:


声明:本网站引用、摘录或转载内容仅供网站访问者交流或参考,不代表本站立场,如存在版权或非法内容,请联系站长删除,联系邮箱:site.kefu@qq.com。