高中物理选择题做法之二
1、15.取水平地面为重力势能零点。一物块从某一高度水平抛出,在抛出点其动能与重力势能恰好相等。不计空气阻力,该物块落地时的速度方向与水平方向的夹角为( )
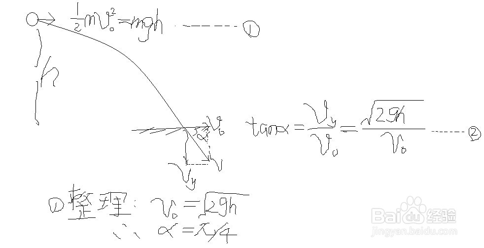
这题审题关键词语是:水平抛出, 抛出点其动能与重力势能恰好 相等,(这文法同学应该不陌生)落地时的速度方向与水平方向的夹角
2、关键词语指出方法:
水平抛出 平抛的解决方法就是分解,水平分运动匀速,竖直分运动自由落体,
抛出点其动能与重力势能恰好相等 动能表达式mv^2/2 重力势能表达式mgh
落地时的速度方向与水平方向的夹角 用到的一定求夹角的正切值

3、草图马上画出,并在重要的位置进行计算:

4、给出选项,此题注意是在抛出点,很多同学拿一些成题来套用解这道题,以为落到了某个位置,所以惯性思维害人啊,仔细读题,有思路,有想法,就沿着走下去,别用以前的题把你牵绊住,还是自信,别用“可能不是这个选项吧,不可能是这样的结果吧,”的想法,你用了正确的方法,是规范的物理方法,数学解题仔细,结果是没有问题的

声明:本网站引用、摘录或转载内容仅供网站访问者交流或参考,不代表本站立场,如存在版权或非法内容,请联系站长删除,联系邮箱:site.kefu@qq.com。