指南生活
首页
美食营养
手工爱好
生活家居
返回
指南生活
首页
美食营养
游戏数码
手工爱好
生活家居
健康养生
运动户外
职场理财
情感交际
母婴教育
时尚美容
知识问答
生活知识
生活百科
搜索
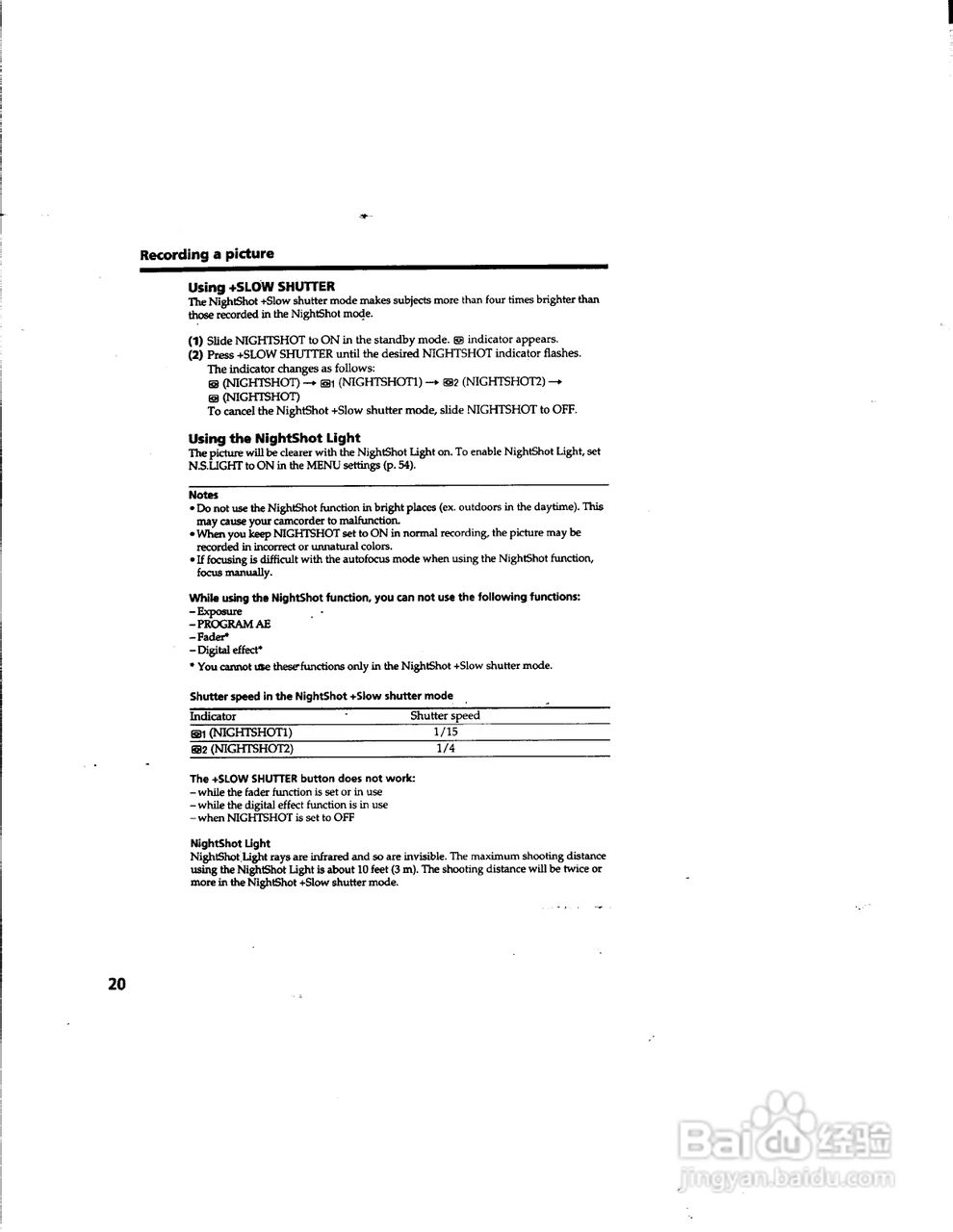
索尼DCR-TRV210数码摄像机说明书:[2]
2026-05-01 01:26:36
本篇为《索尼DCR-TRV210数码摄像机说明书》,主要介绍该产品的使用方法以及常见故障解决方案。
(共篇)
上一篇:
|
下一篇:
声明:
本网站引用、摘录或转载内容仅供网站访问者交流或参考,不代表本站立场,如存在版权或非法内容,请联系站长删除,联系邮箱:site.kefu@qq.com。
相关推荐
索尼DCR-TRV210数码摄像机说明书:[9]
阅读量:135
索尼DCR-TRV210数码摄像机说明书:[3]
阅读量:137
索尼DCR-TRV203数码摄像机说明书:[9]
阅读量:147
索尼a7r2视频拍摄如何设置
阅读量:149
索尼a6000新手教程
阅读量:128
猜你喜欢
腰椎间盘突出怎么治
玉是怎么形成的
nmm怎么用
怎么打下划线
puppet怎么读
头皮痛是怎么回事
尸王殿怎么走
辞工申请书怎么写
u盘怎么杀毒
水培植物怎么养
猜你喜欢
我的世界吊灯怎么做
肚子大怎么办
中国农业大学怎么样
龙猫怎么养
youtube怎么上
怎么钓黑鱼
充电宝怎么用
周大生黄金怎么样
孩子老是咳嗽怎么办
微信主题怎么设置皮肤