如何分析互感器模块?
1、库:Electrical Elements。
如下图所示。

2、说明
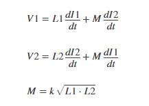
互感器块对互感器进行建模,其描述如下:

3、其中详细信息。如下图所示。

4、此块可用于表示交流变压器。如果电感和互感项在模型中不重要或未知,则可以使用理想变压器块代替。
连接到一次绕组和二次绕组的两个电网必须各有一个各自的电气参考块。
5、变量
要在仿真之前设置块变量的优先级和初始目标值,请使用“块”对话框中的“变量”选项卡(或“块特性检查器”中的“变量”部分)。有关详细信息,请参见设置块变量的优先级和初始目标。

6、参数
电感L1
第一绕组自感。默认值为10小时。
电感L2
第二绕组自感。默认值为0.1小时。
耦合系数
耦合系数,定义互感系数。参数值应大于零且小于1。默认值为0.9。

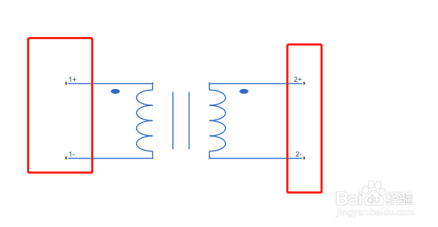
7、端口
该模块有四个电气保护端口。极性用+和–符号表示。标有1+和1-的端口连接到主绕组。标有2+和2-的端口连接到二次绕组。

声明:本网站引用、摘录或转载内容仅供网站访问者交流或参考,不代表本站立场,如存在版权或非法内容,请联系站长删除,联系邮箱:site.kefu@qq.com。
阅读量:157
阅读量:83
阅读量:160
阅读量:23
阅读量:148