指南生活
首页
美食营养
手工爱好
生活家居
返回
指南生活
首页
美食营养
游戏数码
手工爱好
生活家居
健康养生
运动户外
职场理财
情感交际
母婴教育
时尚美容
知识问答
生活知识
生活百科
搜索
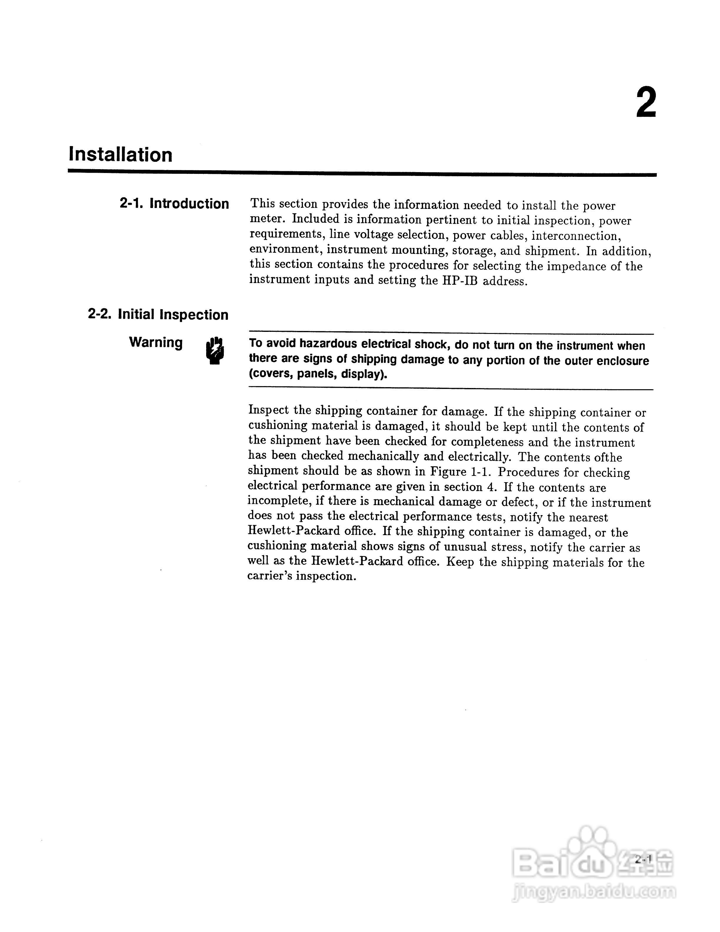
HP-437B功率计说明书:[3]
2026-04-23 22:21:43
本篇为《HP-437B功率计说明书》,主要介绍该产品的使用方法以及常见故障解决方案。
(共篇)
上一篇:
|
下一篇:
声明:
本网站引用、摘录或转载内容仅供网站访问者交流或参考,不代表本站立场,如存在版权或非法内容,请联系站长删除,联系邮箱:site.kefu@qq.com。
相关推荐
HP-437B功率计说明书:[8]
阅读量:113
HP-437B功率计说明书:[12]
阅读量:90
功率计对风能逆变器的效率测试最全操作步骤
阅读量:130
HP-437B功率计说明书:[16]
阅读量:75
HP-437B功率计说明书:[13]
阅读量:139
猜你喜欢
赛季什么时候结束
太妹是什么意思
虎皮兰的养殖方法
什么是ui
112是什么电话号码
低回声结节什么意思
什么是双离合
手指疼痛是什么原因
standard是什么意思
床单是什么
猜你喜欢
father什么意思
什么情况要割包皮
什么是潜规则
recently是什么意思
卯时是什么时候
什么是贸易顺差
趣味运动会
维生素e的作用及功能
顺德有什么好玩的地方
教育的本质是什么