指南生活
首页
美食营养
手工爱好
生活家居
返回
指南生活
首页
美食营养
游戏数码
手工爱好
生活家居
健康养生
运动户外
职场理财
情感交际
母婴教育
时尚美容
知识问答
生活知识
生活百科
搜索
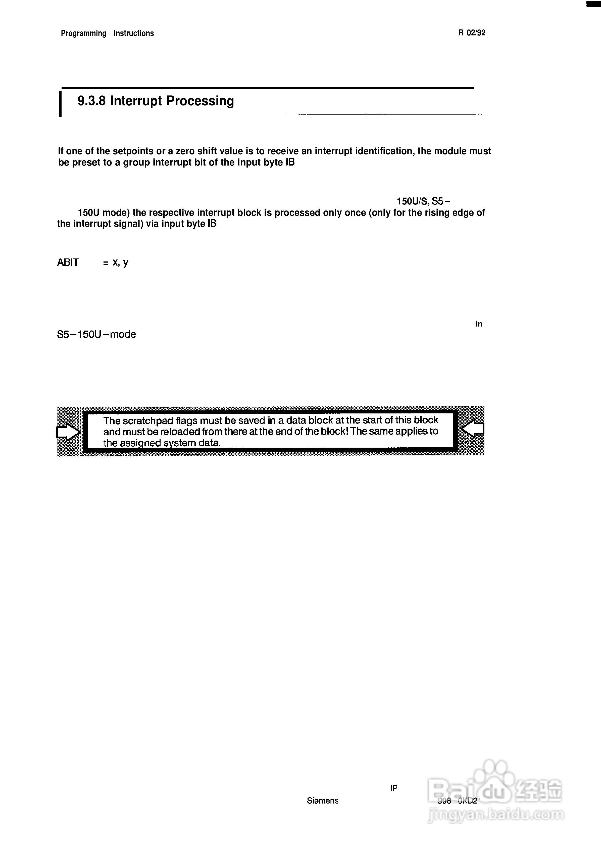
西门子SIMATICS5IP241数字配置解码器设备使用手册:[15]
2026-04-22 05:41:06
本篇为《西门子SIMATICS5IP241数字配置解码器设备使用手册》,主要介绍该产品的使用方法以及常见故障解决方案。
(共篇)
上一篇:
|
下一篇:
声明:
本网站引用、摘录或转载内容仅供网站访问者交流或参考,不代表本站立场,如存在版权或非法内容,请联系站长删除,联系邮箱:site.kefu@qq.com。
相关推荐
西门子SIMATICS5IP241数字配置解码器设备使用手册:[2]
阅读量:194
解码器的分类与使用
阅读量:158
解码器怎么连接电脑
阅读量:194
解码器常见故障以及解决方法
阅读量:105
西门子SIMATICS5IP241数字配置解码器设备使用手册:[14]
阅读量:53
猜你喜欢
什么是硬通货
雷霆嘎巴什么意思
东京热什么意思
破天荒什么意思
老陈醋的功效与作用
雷贝拉唑钠肠溶胶囊的功效与作用
弄璋之喜什么意思
用什么泡脚去脚臭
表达方式有哪些及作用
蓝颜知己什么意思
猜你喜欢
福尔马林的作用
初二下册英语知识点
薰衣草的作用
藏红花的功效与作用
湿疹用什么药好
运动会入场式创意表演
哥伦比亚户外运动鞋
运动会会旗
什么是表见代理
什么牌子的内衣好