指南生活
首页
美食营养
手工爱好
生活家居
返回
指南生活
首页
美食营养
游戏数码
手工爱好
生活家居
健康养生
运动户外
职场理财
情感交际
母婴教育
时尚美容
搜索
索尼DCR-PC9数码摄像机说明书:[17]
2025-10-21 11:55:31
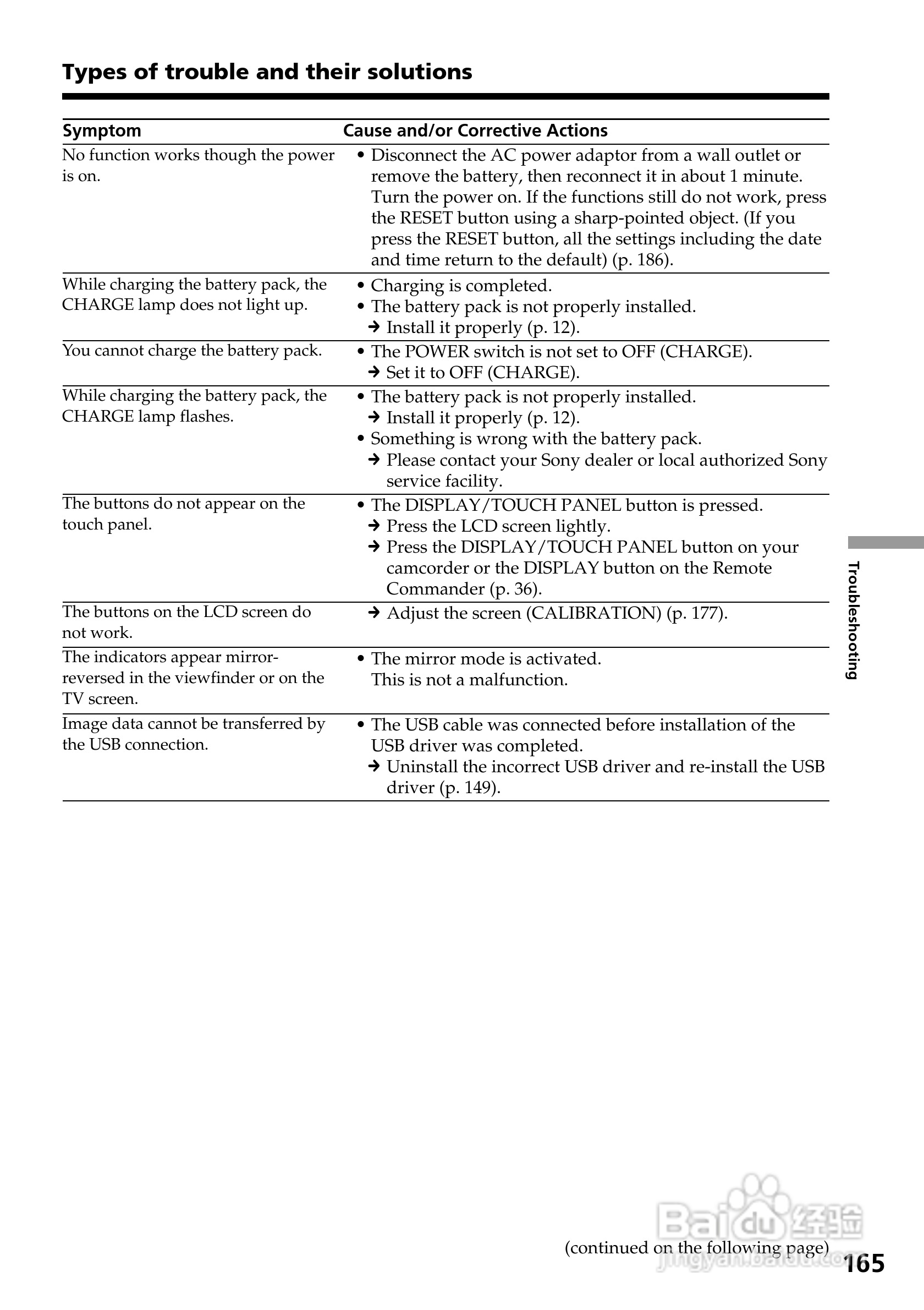
本篇为《索尼DCR-PC9数码摄像机说明书》,主要介绍该产品的使用方法以及常见故障解决方案。
(共篇)
上一篇:
|
下一篇:
声明:
本网站引用、摘录或转载内容仅供网站访问者交流或参考,不代表本站立场,如存在版权或非法内容,请联系站长删除,联系邮箱:site.kefu@qq.com。
相关推荐
索尼DCR-PC9数码摄像机说明书:[16]
阅读量:60
索尼DCR-PC9数码摄像机说明书:[10]
阅读量:172
索尼a7r2视频拍摄如何设置
阅读量:30
索尼a6000新手教程
阅读量:135
索尼a7微单使用技巧
阅读量:146
猜你喜欢
海尔热水器怎么样
平安树怎么养
快穿之男神怎么又黑化了
tuesday怎么读
卷发棒怎么用
绿豆芽怎么炒好吃
水肿怎么办
小孩干咳怎么办
气血亏虚怎么调理
卵巢功能衰退怎么调理
猜你喜欢
施华蔻洗发水怎么样
茶叶蛋怎么煮
佛手瓜怎么做好吃
淤青怎么快速消除
怎么查ip地址
四点底怎么打灬
贷款利息怎么计算
述职报告怎么写 范文
bootmgr is missing怎么解决
苹果手机怎么定位