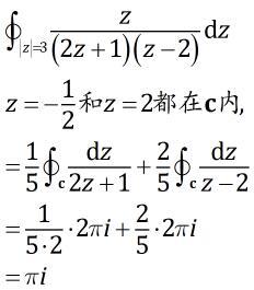
复变函数 设C为正向圆周|z|=3,计算积分z/((2z+1)(z-2))dz
具体回答如下:

设ƒ(z)是A上的复变函数,α是A中一点。如果对任一正数ε,都有正数δ,当z∈A且|z-α|<δ时,|ƒ(z)-ƒ(α)|<ε恒成立,则称ƒ(z)在α处是连续的,如果在A上处处连续,则称为A上的连续函数或连续映射。
扩展资料:
设(z)是平面开集D内的复变函数。对于z∈D,如果极限存在且有限,则称(z)在z处是可导的,此极限值称为(z)在z处的导数。
复变函数导数的存在却蕴含着丰富的内容。这是因为z+h是z的二维邻域内的任意一点,极限的存在条件比起一维的实数情形要强得多。一个复变函数如在z的某一邻域内处处有导数,则该函数必在z处有高阶导数,而且可以展成一个收敛的幂级数。
声明:本网站引用、摘录或转载内容仅供网站访问者交流或参考,不代表本站立场,如存在版权或非法内容,请联系站长删除,联系邮箱:site.kefu@qq.com。
阅读量:97
阅读量:89
阅读量:38
阅读量:195
阅读量:61