等差数列,等比数列
1、定义
从第二项起,每一项与它的前一项的差等于同一个常数的一种数列。

2、通项公式
an=a1+(n-1)*d
an:第n项,a1:第1项,d:公差

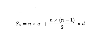
3、求和公式
Sn=n*a1+n*(n-1)*d/2

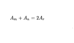
4、等差中项
Am,Ar,An,成等差数列。2Ar=Am+An。

1、定义
从第2项起,每一项与它的前一项的比等于同一个常数的一种数列。

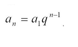
2、通项公式
an=a1*q(n-1)
an:第n项,q:公比。

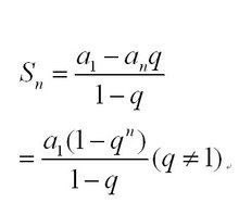
3、求和公式
an=a1*(1-qn)/1-q

4、性质
m+n=p+q,则am*an=ap*aq(m、n、p、q为非负整数)

声明:本网站引用、摘录或转载内容仅供网站访问者交流或参考,不代表本站立场,如存在版权或非法内容,请联系站长删除,联系邮箱:site.kefu@qq.com。