函数的定义极其怎样表示?
1、函数的定义,如图:

2、列表法表示函数:即采用列表方式表示函数。

3、解析法表示函数:即采用解析方式f(x)表示函数。

4、图像法表示函数:用(x,y)表示f(x)并且光滑连接。

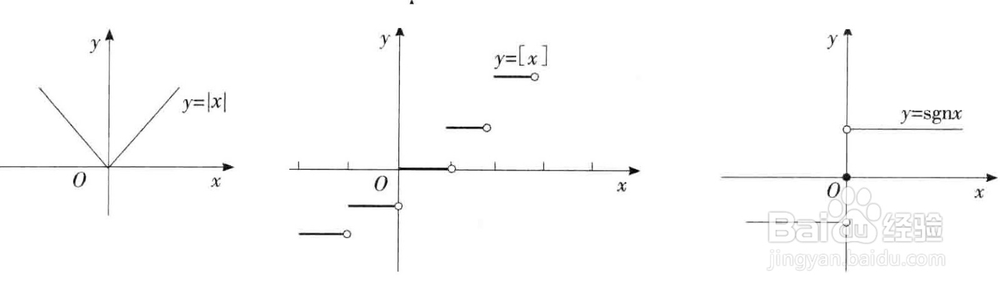
5、常见函数及其图像表示:

声明:本网站引用、摘录或转载内容仅供网站访问者交流或参考,不代表本站立场,如存在版权或非法内容,请联系站长删除,联系邮箱:site.kefu@qq.com。
阅读量:85
阅读量:47
阅读量:100
阅读量:104
阅读量:20