如何求数列通项公式:[4]待定系数法
1、的通项公式求法:
1. 若b=q,则可以化为an+1/bn+1=an/bn+d,从而化为以a1/b为首项,公差为d的等差数列,可求通项公式
2.若b≠q,则可以化为an+1/bn+1=q/b*an/bn+d,从而化为型an+1=qan+d的等差数列,从而可求通项公式
2、例1
![如何求数列通项公式:[4]待定系数法](https://exp-picture.cdn.bcebos.com/4b626771fe1d96d850c78c932ccd0c6efaf2e171.jpg)
3、观察题目,知道题目属于第一种形式,就是b=q。所以两边可以直接除以2的n+1次方,就可以求出an的通项公式
![如何求数列通项公式:[4]待定系数法](https://exp-picture.cdn.bcebos.com/0d2fe5f202b375d7d6a55647515872dadf49d871.jpg)
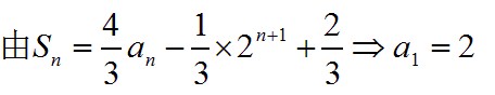
4、例2
![如何求数列通项公式:[4]待定系数法](https://exp-picture.cdn.bcebos.com/db196cdade49610fde8840b7a56817e950e1d271.jpg)
5、分析:由于题目有Sn和an的关系式,所以先要消去Sn,生成an+1和an的关系式
![如何求数列通项公式:[4]待定系数法](https://exp-picture.cdn.bcebos.com/16a84fe10ef8585689e3459753e9ccd2ba66cd71.jpg)
![如何求数列通项公式:[4]待定系数法](https://exp-picture.cdn.bcebos.com/cd93a5665159854073f4e951b5a23a42a17ac471.jpg)
![如何求数列通项公式:[4]待定系数法](https://exp-picture.cdn.bcebos.com/bd72f23834bb19efcf81e1a7497bd28287893a76.jpg)
6、比较关系式,属于第二种类型,可以两边同除以4的n+1次方,然后再利用累加法完成an的通项公式的求解
![如何求数列通项公式:[4]待定系数法](https://exp-picture.cdn.bcebos.com/b6f0f0f97fbd4c7c436dd1f2b8bad341027d3076.jpg)
声明:本网站引用、摘录或转载内容仅供网站访问者交流或参考,不代表本站立场,如存在版权或非法内容,请联系站长删除,联系邮箱:site.kefu@qq.com。
阅读量:192
阅读量:51
阅读量:139
阅读量:138
阅读量:103