指南生活
首页
美食营养
手工爱好
生活家居
返回
指南生活
首页
美食营养
游戏数码
手工爱好
生活家居
健康养生
运动户外
职场理财
情感交际
母婴教育
时尚美容
知识问答
生活知识
生活百科
搜索
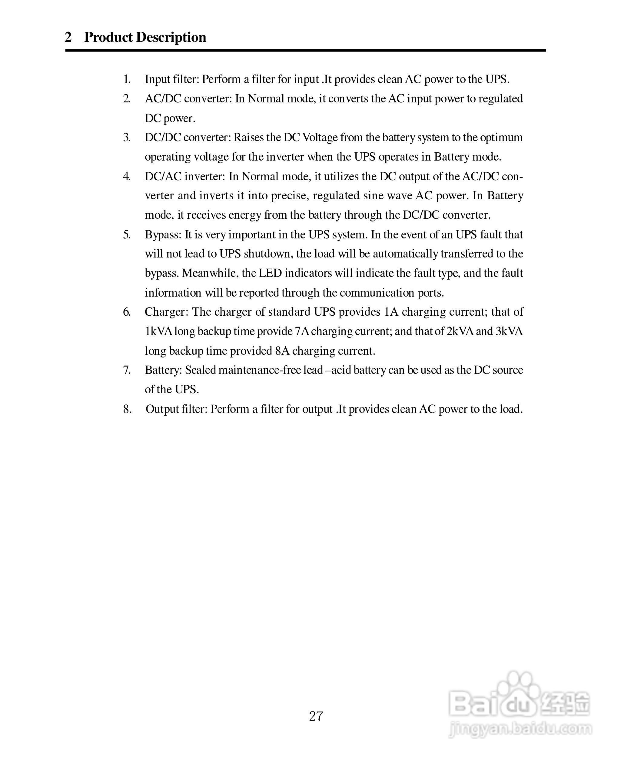
山特电子城堡系列C1K-3K UPS电源使用手册:[4]
2026-05-05 23:37:34
本篇为《山特电子城堡系列C1K-3K UPS电源使用手册》,主要介绍该产品的使用方法以及常见故障解决方案。
(共篇)
上一篇:
|
下一篇:
声明:
本网站引用、摘录或转载内容仅供网站访问者交流或参考,不代表本站立场,如存在版权或非法内容,请联系站长删除,联系邮箱:site.kefu@qq.com。
相关推荐
双端面磨平机使用方法及操作步骤
阅读量:135
在EPLAN添加异地启停控制电路的乙地停止按钮
阅读量:47
让windows7显示本地天气预报
阅读量:100
excel怎么删除一列中不需要的部分
阅读量:104
会议室会议系统配置怎么选?
阅读量:36
猜你喜欢
我因什么而自豪作文
空调1匹2匹指的是什么
xls文件用什么打开
什么保温杯牌子好
道听途说是什么意思
最后祝福
房间隔断用什么材料
力不从心是什么意思
笔耕不辍的意思
weak是什么意思
猜你喜欢
贺词祝福语
晴天霹雳的意思
百思不得其解的意思
生日祝福语朋友
card是什么意思中文
暖气漏水用什么胶
代沟的意思
给老师的祝福
什么手机好用又便宜
什么是以直报怨