指南生活
首页
美食营养
手工爱好
生活家居
返回
指南生活
首页
美食营养
游戏数码
手工爱好
生活家居
健康养生
运动户外
职场理财
情感交际
母婴教育
时尚美容
知识问答
生活知识
搜索
索尼CCD-TRV12模拟摄像机说明书:[5]
2025-12-11 00:55:03
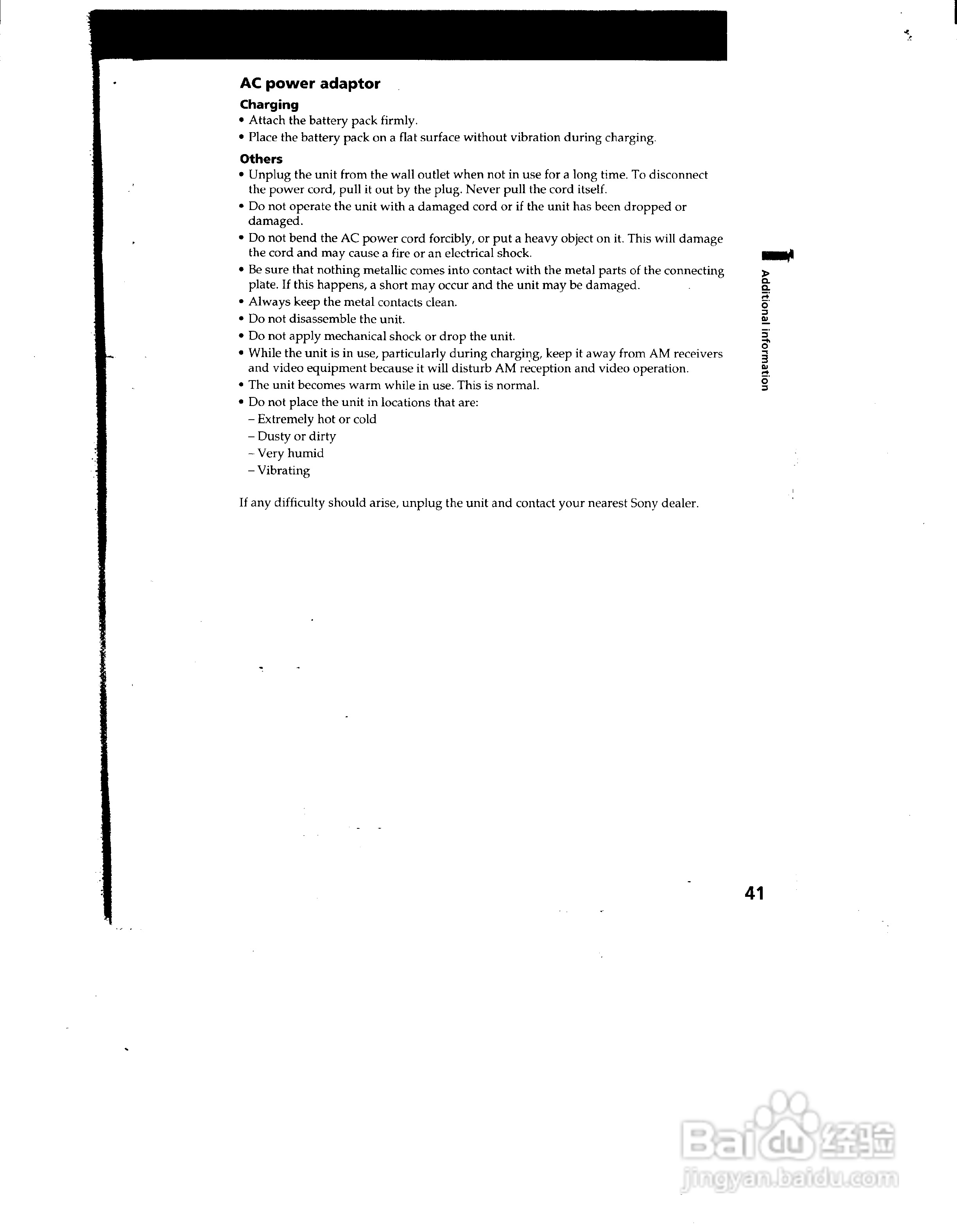
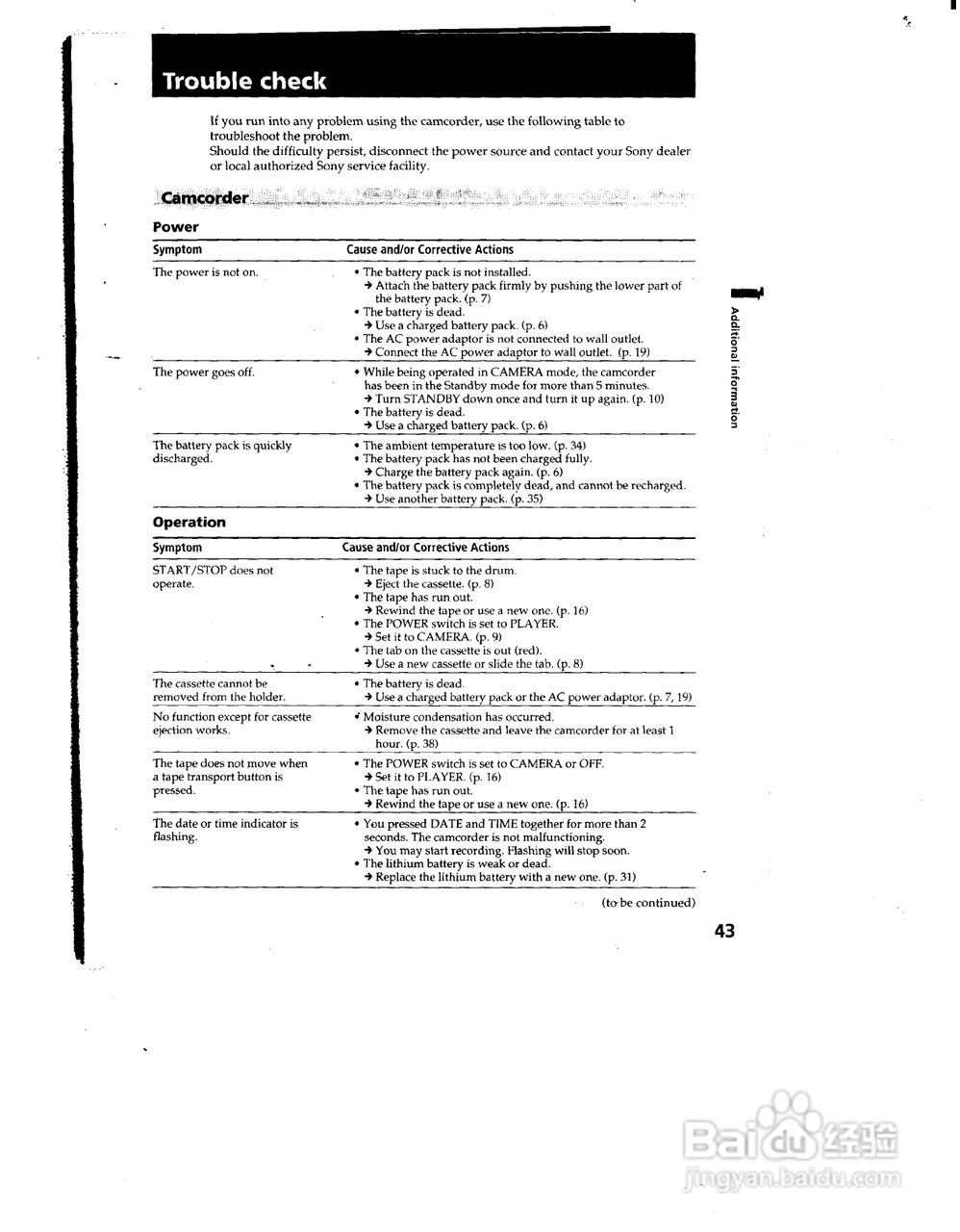
本篇为《索尼CCD-TRV12模拟摄像机说明书》,主要介绍该产品的使用方法以及常见故障解决方案。
(共篇)
上一篇:
|
下一篇:
声明:
本网站引用、摘录或转载内容仅供网站访问者交流或参考,不代表本站立场,如存在版权或非法内容,请联系站长删除,联系邮箱:site.kefu@qq.com。
相关推荐
索尼CCD-TRV12模拟摄像机说明书:[6]
阅读量:180
索尼CCD-TRV312模拟摄像机说明书:[5]
阅读量:58
索尼CCD-TRV211模拟摄像机说明书:[5]
阅读量:166
模拟摄像机和网络监控摄像机画面嵌入网页直播
阅读量:169
索尼CCD-TRV101模拟摄像机说明书:[5]
阅读量:152
猜你喜欢
北京化工大学怎么样
大众polo怎么样
盐吃多了会怎么样
怎么调节电脑亮度
华夏保险怎么样
爱上一个不该爱的人怎么办
养狗证怎么办理
怎么把电脑字体调大
鞋子大了怎么办
手机开不开机怎么办
猜你喜欢
比亚迪f3怎么样
天梭力洛克怎么样
怎么找回qq密码
头发干燥怎么办
2岁宝宝便秘怎么办
皮肤黑怎么办
交换机怎么用
怎么可以长高
相信用英语怎么说
怎么查自己手机号码