如何求解二阶常系数齐次线性微分方程
1、拿到方程之后,首先化为标准形式,如图所示。然后分别罩茄写出p,q的值。

2、将p,q的值代入到如图所示的特征方程中,求解一元二次方程的根λ1,λ2。

3、如果求出有两个劫伐不相等实根,则方程的通解为y=c1exp(λ1x)+c2exp(λ2x),如图所示。c1,c2为任意常数。

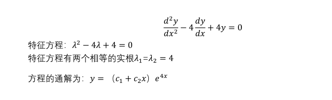
4、如果求出两个相等实根,则方程的通解为y=(c1+c2x)exp(λ1x)。c1,c2为任意常数。

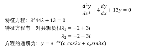
5、如果求出共轭宙冲速负根λ1=a+ib,λ2=a-ib,则方程的通解为y=exp(ax)(c1cosbx+c2sinbx)。c1,c2为任意常数。

1、求解方程y''-2y'-3y=0

2、求解方程y''-4y'+4y=0

3、求解方程y''+4y'+13=0

声明:本网站引用、摘录或转载内容仅供网站访问者交流或参考,不代表本站立场,如存在版权或非法内容,请联系站长删除,联系邮箱:site.kefu@qq.com。
阅读量:109
阅读量:152
阅读量:109
阅读量:84
阅读量:113