指南生活
首页
美食营养
手工爱好
生活家居
返回
指南生活
首页
美食营养
游戏数码
手工爱好
生活家居
健康养生
运动户外
职场理财
情感交际
母婴教育
时尚美容
知识问答
搜索
日立CP-X205投影机使用说明书:[13]
2025-11-30 08:29:42
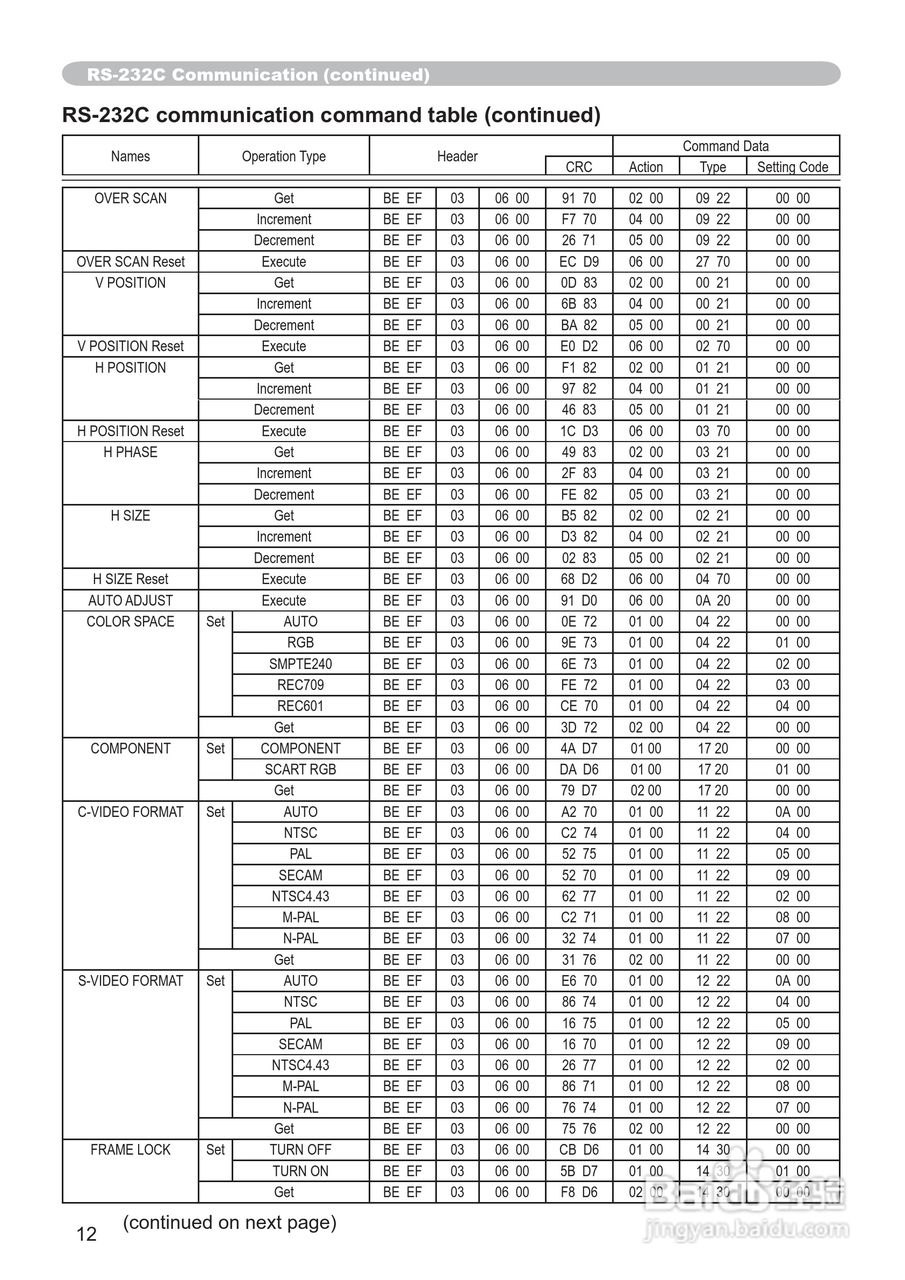
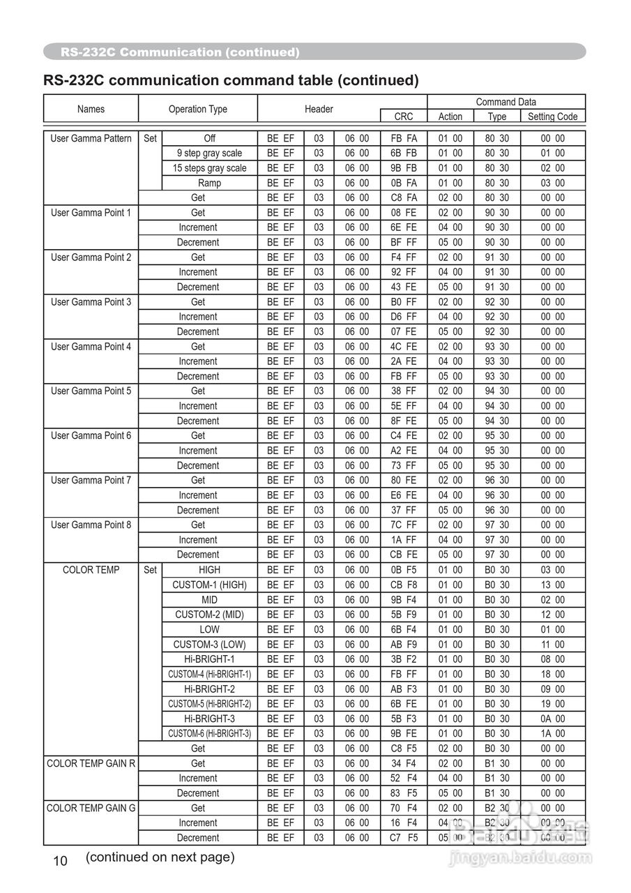
本篇为《日立CP-X205投影机使用说明书》,主要介绍该产品的使用方法以及常见故障解决方案。
(共篇)
上一篇:
|
下一篇:
声明:
本网站引用、摘录或转载内容仅供网站访问者交流或参考,不代表本站立场,如存在版权或非法内容,请联系站长删除,联系邮箱:site.kefu@qq.com。
相关推荐
日立CP-X205投影机使用说明书:[12]
阅读量:123
日立CP-X205投影机使用说明书:[9]
阅读量:157
日立 CP-X265投影机说明书:[13]
阅读量:74
日立 CP-X268A投影机说明书:[13]
阅读量:124
日立 CP-S225W投影机说明书:[13]
阅读量:151
猜你喜欢
枇杷膏怎么做
ps怎么复制图片
怎么开药店
hkc显示器怎么样
鲍鱼的家常做法
家中最简单炸油条方法
煮牛奶的正确方法
最大公约数怎么求
凯文怎么了
打方向盘的正确方法
猜你喜欢
自残的方法
口苦的原因和治疗方法
延时方法
最佳怀孕时间和方法
北京城市学院怎么样
负债率怎么算
辞职原因怎么说合适
君子兰的养殖方法和注意事项
海参粥的家常做法
兰花怎么养才能开花