指南生活
首页
美食营养
手工爱好
生活家居
返回
指南生活
首页
美食营养
游戏数码
手工爱好
生活家居
健康养生
运动户外
职场理财
情感交际
母婴教育
时尚美容
知识问答
生活知识
生活百科
搜索
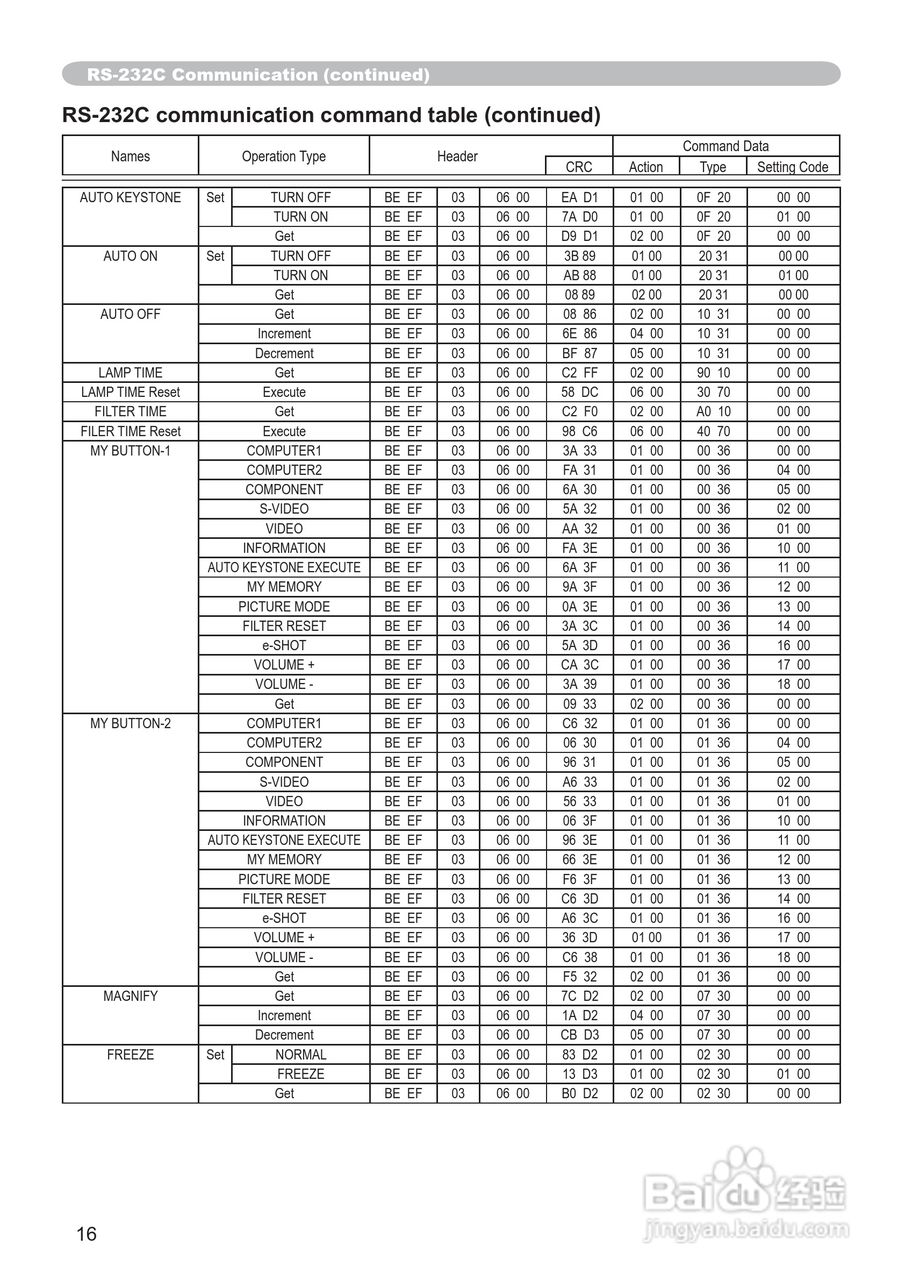
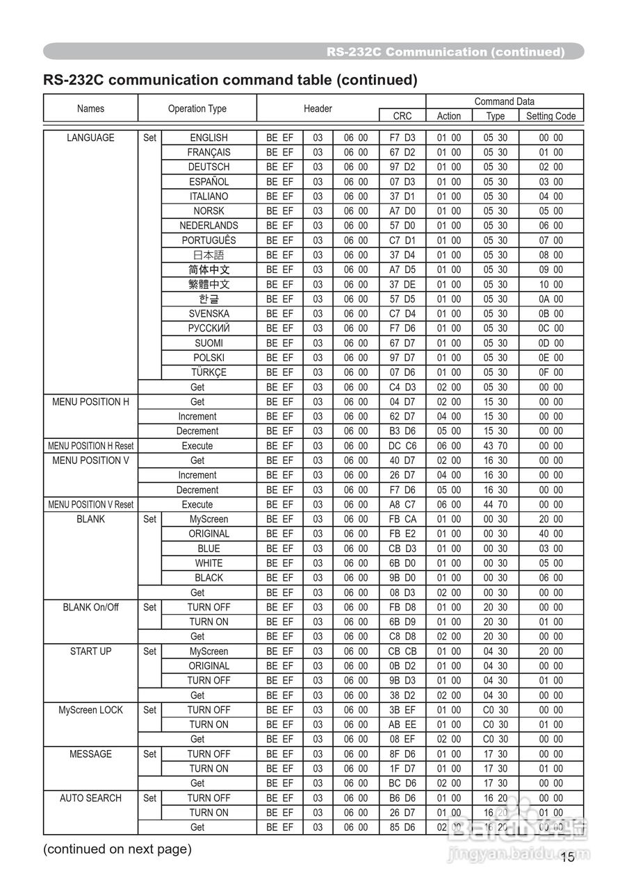
日立CP-X205投影机使用说明书:[14]
2026-04-19 03:29:54
本篇为《日立CP-X205投影机使用说明书》,主要介绍该产品的使用方法以及常见故障解决方案。
(共篇)
上一篇:
声明:
本网站引用、摘录或转载内容仅供网站访问者交流或参考,不代表本站立场,如存在版权或非法内容,请联系站长删除,联系邮箱:site.kefu@qq.com。
相关推荐
日立CP-X205投影机使用说明书:[12]
阅读量:134
日立CP-X205投影机使用说明书:[8]
阅读量:143
日立 CP-X268A投影机说明书:[14]
阅读量:169
日立CP-X306投影机使用说明书:[14]
阅读量:186
使用说明书封面怎么做
阅读量:63
猜你喜欢
苗条的意思
什么电子狗最好用
相亲时候聊些什么话题
考试祝福语简短
买保险要注意什么
message是什么意思
阿中是什么意思
ip65是什么意思
暖气漏水用什么胶
重庆什么时候开学
猜你喜欢
琵琶最初指的是什么
凶神恶煞的意思
晚春的意思
rubber是什么意思
端午节祝福句子简洁
扑街什么意思
有什么好玩的单机游戏吗
剑灵现在什么职业厉害
储奶袋什么牌子好
六一儿童节的祝福