指南生活
首页
美食营养
手工爱好
生活家居
返回
指南生活
首页
美食营养
游戏数码
手工爱好
生活家居
健康养生
运动户外
职场理财
情感交际
母婴教育
时尚美容
知识问答
生活知识
搜索
索尼CCD-TRV22模拟摄像机说明书:[5]
2025-12-27 17:30:21
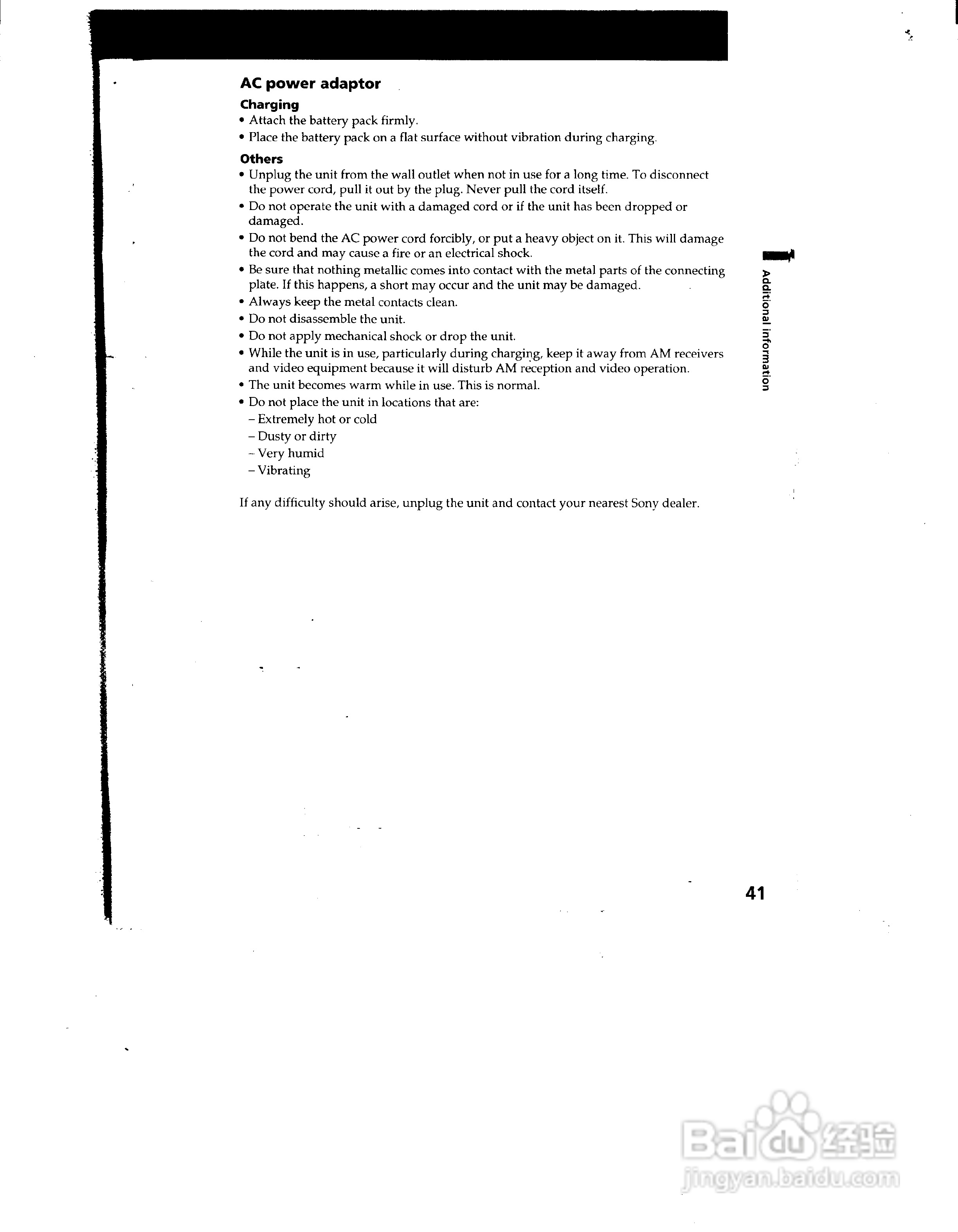
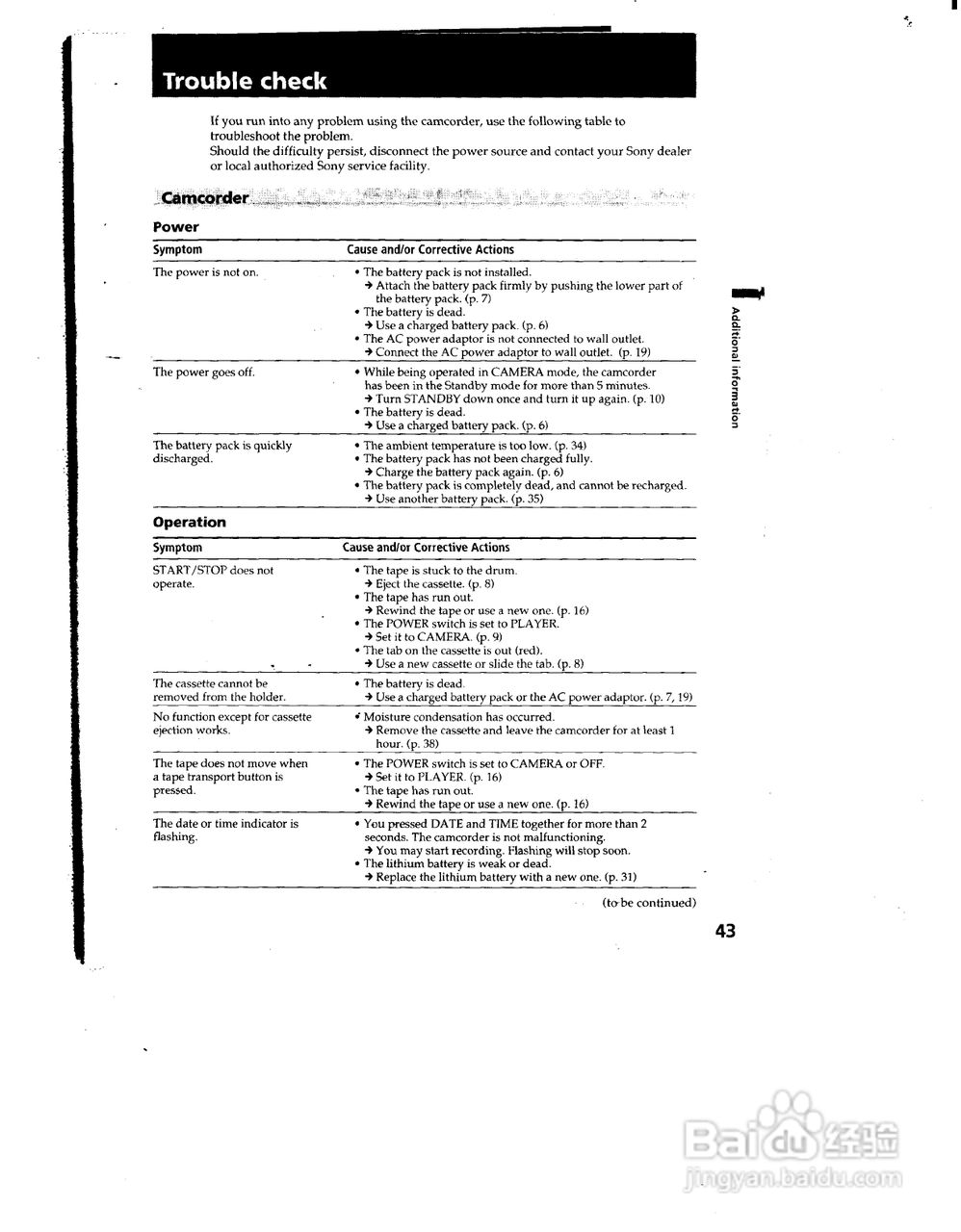
本篇为《索尼CCD-TRV22模拟摄像机说明书》,主要介绍该产品的使用方法以及常见故障解决方案。
(共篇)
上一篇:
|
下一篇:
声明:
本网站引用、摘录或转载内容仅供网站访问者交流或参考,不代表本站立场,如存在版权或非法内容,请联系站长删除,联系邮箱:site.kefu@qq.com。
相关推荐
怎么设计火锅展会
阅读量:189
膨胀螺丝怎么安装?
阅读量:167
风光摄影的常用方法
阅读量:80
Technics SL-DZ1200 DJ CD播放机説明书:[2]
阅读量:80
全口种植牙的寿命到底有多久
阅读量:94
猜你喜欢
斑怎么样才能去掉
个人专长怎么写
一边胸大一边胸小怎么办
用户名怎么写
名图车怎么样
四平旅游
路由器价格
身份证如何补办
磁盘被写保护怎么去掉
我的电脑打不开怎么办
猜你喜欢
重启路由器
俄语我爱你怎么写
路由器怎么设置密码
粤s是哪里的车牌
可可托海在哪里
乒乓球胶皮怎么粘
福建旅游景点大全
电视的尺寸怎么算
叫我如何不想她
仲恺农业工程学院怎么样