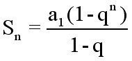
等比级数求和公式a/1-q
等比级数求和公式:

等比级数若收敛,则其公比q的绝对值必小于1。
故当n趋向于无穷时,等比数列求和公式中q的n次方趋于0(|q|<1),此时Sn=a1/(1-q)。
q大于1时等比级数发散。
等比数列(又名几何数列):是一种特殊数列。它的特点是:从第2项起,每一项与前一项的比都是一个常数。
等比数列性质
1、若 m、n、p、q∈N*,且m+n=p+q,则am·an=ap·aq;
2、在等比数列中,当q≠-1,或q=-1且k为奇数时,依次每 k项之和仍成等比数列。
“G是a、b的等比中项”“G^2=ab(G≠0)”。
3、等比数列前n项之和。
声明:本网站引用、摘录或转载内容仅供网站访问者交流或参考,不代表本站立场,如存在版权或非法内容,请联系站长删除,联系邮箱:site.kefu@qq.com。
阅读量:190
阅读量:61
阅读量:110
阅读量:172
阅读量:179