指南生活
首页
美食营养
手工爱好
生活家居
返回
指南生活
首页
美食营养
游戏数码
手工爱好
生活家居
健康养生
运动户外
职场理财
情感交际
母婴教育
时尚美容
知识问答
生活知识
搜索
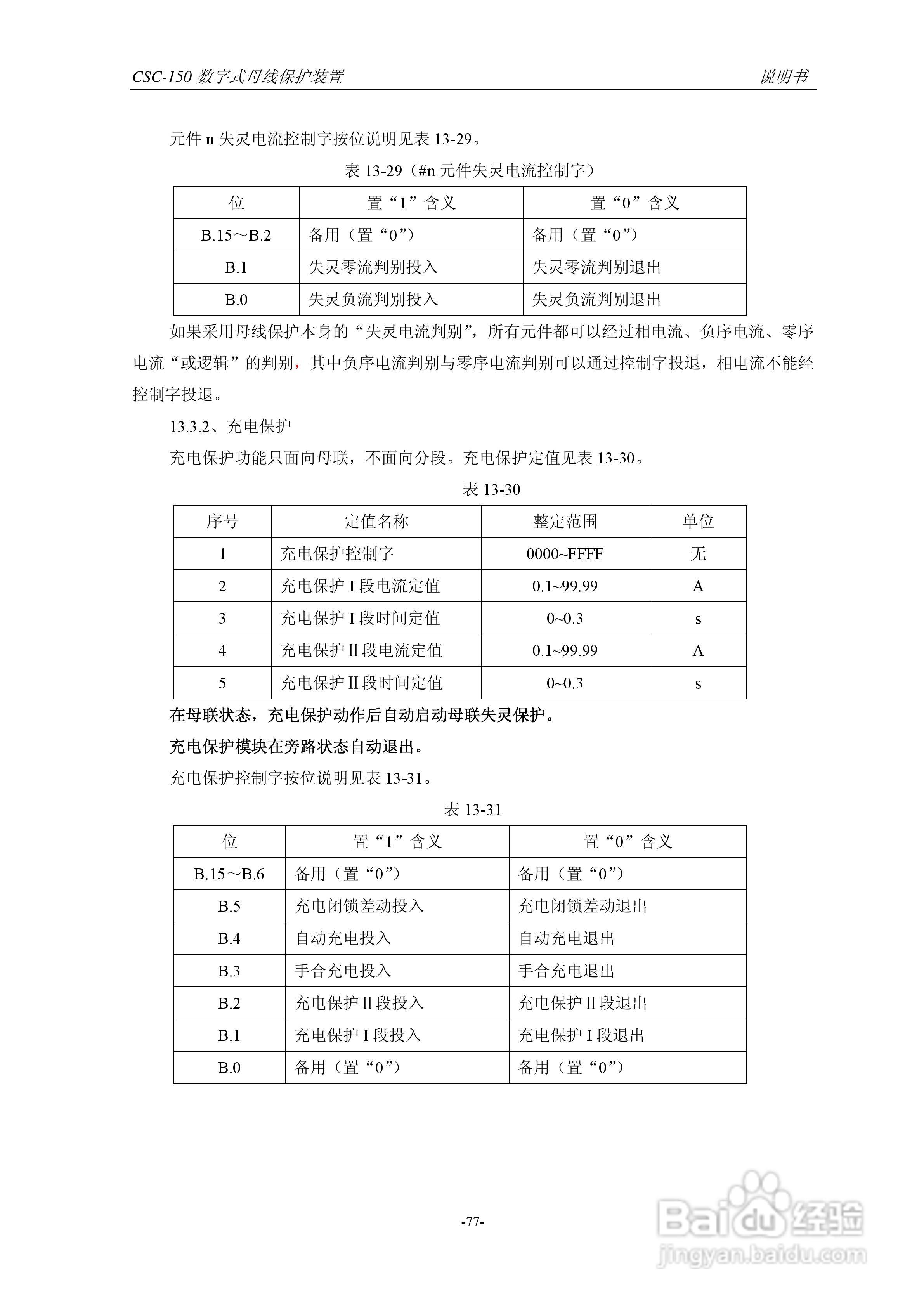
四方CSC-150数字式母线保护装置说明书:[9]
2026-03-17 12:16:07
本篇为《四方CSC-150数字式母线保护装置说明书》,主要介绍该产品的使用方法以及常见故障解决方案。
(共篇)
上一篇:
声明:
本网站引用、摘录或转载内容仅供网站访问者交流或参考,不代表本站立场,如存在版权或非法内容,请联系站长删除,联系邮箱:site.kefu@qq.com。
相关推荐
四方CSC-150数字式母线保护装置说明书:[8]
阅读量:81
四方CSC-150数字式母线保护装置说明书:[5]
阅读量:36
四方CSC-163T数字式线路保护装置说明书:[9]
阅读量:27
四方CSC-163T数字式线路保护装置说明书:[8]
阅读量:104
母线搭接方式
阅读量:155
猜你喜欢
理想是什么
正处级是什么级别
学习机什么牌子好
秋天有什么花
益生菌什么时候吃最好
排量是什么意思
number是什么意思
公允价值是什么意思
包浆是什么意思
胎盘是什么
猜你喜欢
胎盘能吃吗有什么作用与功效
acc是什么意思
数控是什么
一等功有什么用
拿铁是什么意思
cl是什么意思
流清鼻涕是什么感冒
oqc是什么意思
rh阳性是什么意思
角的大小和什么有关和什么无关