pandas教程:[8]数据分组
使用groupby()可以给数据分组,数据分组的好处是你可以一次性计算得到所有分组中的统计量,比如想计算男女学生的平均成绩分别是多少,可以先按照男女分组,然后计算平均数,我们不用计算完女生然后在计算男生,实际上是一次性完成的,这就是分组的好处。
先引入模块,并创建一个DataFrame
![pandas教程:[8]数据分组](https://exp-picture.cdn.bcebos.com/6a408cdd3340b6f3c920cdaf12c0affce086ee3e.jpg)
打印出DataFrame来查看一下结果
![pandas教程:[8]数据分组](https://exp-picture.cdn.bcebos.com/f11f54237971fe1df07fd6aaea20a7cd0d6ee03e.jpg)
我们可以以A列进行分组,使用groupby
![pandas教程:[8]数据分组](https://exp-picture.cdn.bcebos.com/bab5c45872dade4912a845e526042e6816e9d53e.jpg)
打印出来的grouped.first()为每一组的第一行数据
![pandas教程:[8]数据分组](https://exp-picture.cdn.bcebos.com/84010e2a04e23ea2bfe56ec92b10bc33ed38c33e.jpg)
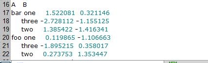
我们还可以以两列以上进行分组,groupby参数为一个列表
![pandas教程:[8]数据分组](https://exp-picture.cdn.bcebos.com/efb861bd4c7c34b3abe6fd095841037de037313f.jpg)
打印出来的是这样的情况,last表示每一组的最后一行数据
![pandas教程:[8]数据分组](https://exp-picture.cdn.bcebos.com/f591ab03c8d246feefe90c30b8bf3bef344f1e3f.jpg)
我们还可以根据列来分组,先创建一个get_type函数,如果列名为abem中之一,就分为组别vowel,反之为consonant
![pandas教程:[8]数据分组](https://exp-picture.cdn.bcebos.com/dd58d02c5b1b1ede4d7b6e8a981fceecd2d90f3f.jpg)
打印第一组看看分组情况。
![pandas教程:[8]数据分组](https://exp-picture.cdn.bcebos.com/1f03436b04d14929522ff7a063e5eceeacbc7e3f.jpg)
声明:本网站引用、摘录或转载内容仅供网站访问者交流或参考,不代表本站立场,如存在版权或非法内容,请联系站长删除,联系邮箱:site.kefu@qq.com。
阅读量:175
阅读量:24
阅读量:93
阅读量:142
阅读量:110