指南生活
首页
美食营养
手工爱好
生活家居
返回
指南生活
首页
美食营养
游戏数码
手工爱好
生活家居
健康养生
运动户外
职场理财
情感交际
母婴教育
时尚美容
知识问答
生活知识
生活百科
搜索
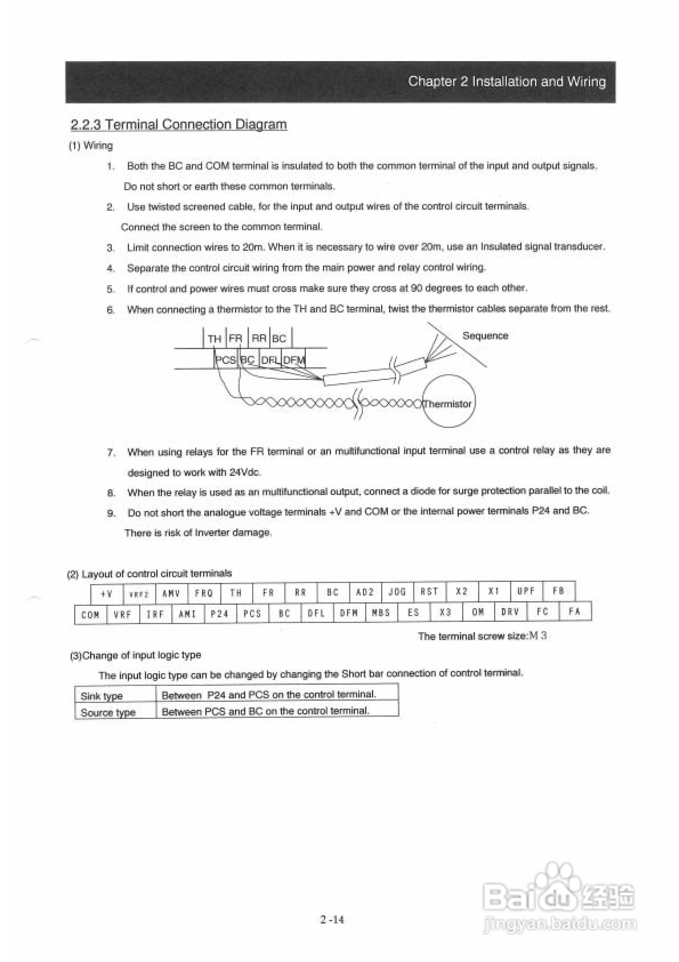
住友(SUMITOMO)HF4304-055变频器说明书:[3]
2026-05-26 19:11:29
本篇为《住友(SUMITOMO)HF4304-055变频器说明书》,主要介绍该产品的使用方法以及常见故障解决方案。
(共篇)
上一篇:
|
下一篇:
声明:
本网站引用、摘录或转载内容仅供网站访问者交流或参考,不代表本站立场,如存在版权或非法内容,请联系站长删除,联系邮箱:site.kefu@qq.com。
相关推荐
住友(SUMITOMO)HF4304-055变频器说明书:[6]
阅读量:133
住友(SUMITOMO)HF4304-055变频器说明书:[4]
阅读量:40
索尼CCD-TRV32模拟摄像机说明书:[3]
阅读量:101
Kies与kies3的区别
阅读量:129
GW636多功能脉冲表使用说明书
阅读量:41
猜你喜欢
廉颇是个什么样的人
新股换手率高说明什么
梨型脸型适合什么发型
一碧千里是什么意思
impossible是什么意思
monster是什么意思
有什么恐怖电影好看
寄语是什么意思
骊歌的意思
相逢何必曾相识是什么意思
猜你喜欢
文静是什么意思
房产赠与需要什么手续
什么叫滚床单
truck是什么意思
电动缝纫机什么牌子好
豆子粘贴画用什么胶
开超市要注意什么
肃静的意思
宁波有什么好玩的景点
颐指气使的意思