如何分析流动阻力模块?
1、库:
Simscape / Foundation Library / Gas / Elements
如下图所示。

2、说明
流阻(G)块模拟了燃气管网分支中的一般压降。压降与质量流量和气体密度的平方成正比。比例常数由“块”对话框中指定的标称工作条件确定。
当组件的唯一可用数据是其压降作为其质量流量的函数时,请使用此块。将块与其他块组合以创建一个更精确地捕捉其引起的压降的自定义组件,例如,基于腔室块的热交换器。
3、质量平衡
假定流动阻力内的气体体积可以忽略不计。通过一个端口进入的质量流量必须与通过另一个端口的质量流量完全相等:

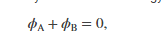
4、能量平衡
能量只能通过节流孔进入和离开流动阻力。墙体与环境之间不发生热交换。此外,流体不做任何工作。通过一个端口进入的能量流量必须与通过另一个端口的能量流量完全相等:

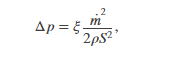
5、动量平衡
流体上的相关外力包括端口处的压力和部件壁上的粘性摩擦产生的外力。重力和其他物体力一样被忽略。用损耗系数ξ表示摩擦力,得到半经验表达式:

6、其中详细信息,如下图所示。

7、A-流阻端口
气态流体进出流动阻力的端口。
B-流阻端口
气态流体进出流动阻力的端口。

8、标称压降-已知操作条件下的压降
0.001 MPa(默认)|标量,带压力单位
在已知操作条件下,从入口到出口的压降。块使用标称参数计算压降和质量流量之间的比例常数。

声明:本网站引用、摘录或转载内容仅供网站访问者交流或参考,不代表本站立场,如存在版权或非法内容,请联系站长删除,联系邮箱:site.kefu@qq.com。