指南生活
首页
美食营养
手工爱好
生活家居
返回
指南生活
首页
美食营养
游戏数码
手工爱好
生活家居
健康养生
运动户外
职场理财
情感交际
母婴教育
时尚美容
搜索
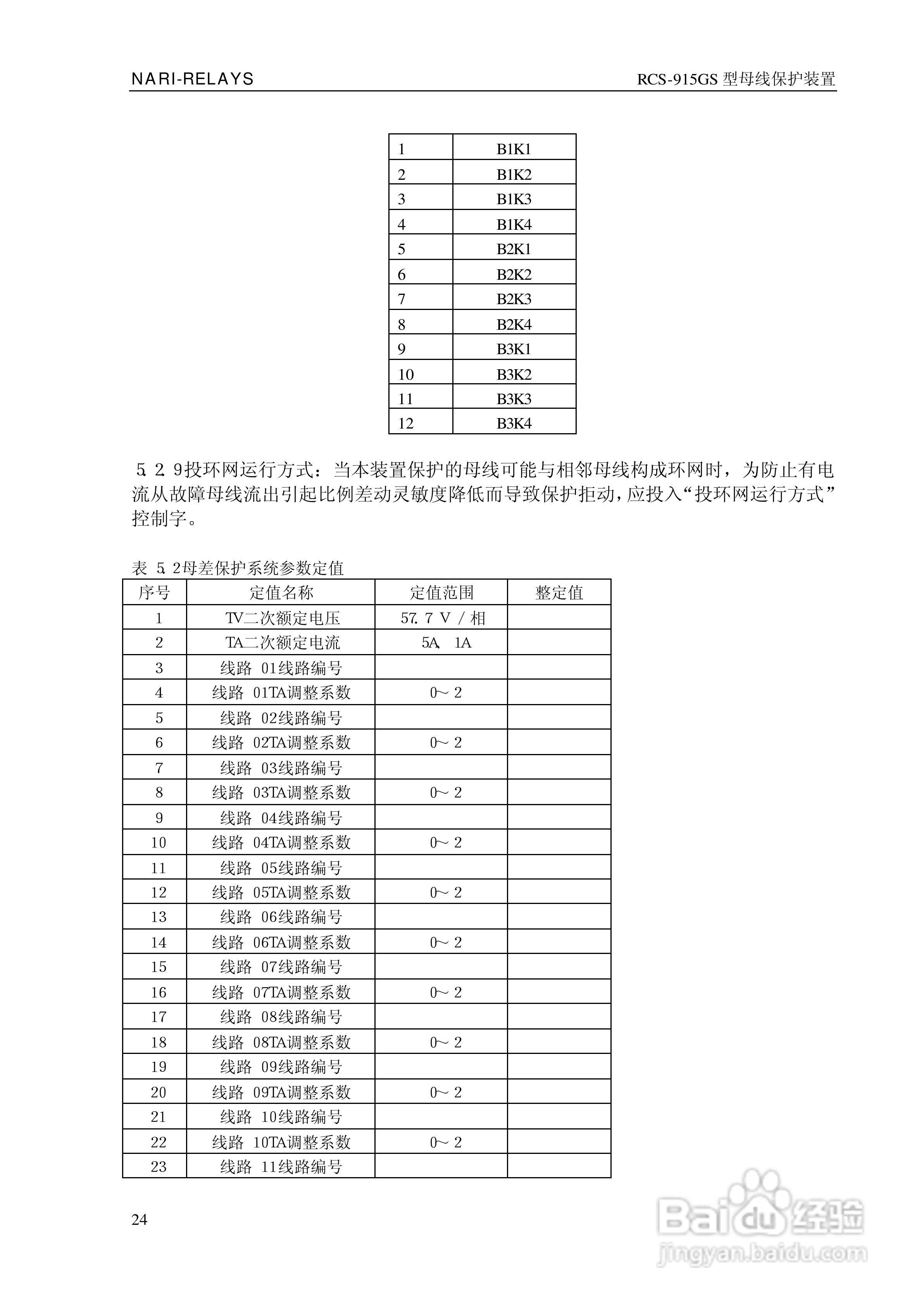
RCS-915GS型微机母线保护装置技术和使用说明书:[3]
2025-10-23 16:40:28
本篇为《RCS-915GS型微机母线保护装置技术和使用说明书》,主要介绍该产品的使用方法以及常见故障解决方案。
(共篇)
上一篇:
|
下一篇:
声明:
本网站引用、摘录或转载内容仅供网站访问者交流或参考,不代表本站立场,如存在版权或非法内容,请联系站长删除,联系邮箱:site.kefu@qq.com。
相关推荐
RCS-915SH型微机母线保护装置技术和使用说明书:[3]
阅读量:53
RCS-915AB型微机母线保护装置技术和使用说明书:[3]
阅读量:161
RCS-915G型微机母线保护装置技术和使用说明书:[4]
阅读量:177
RCS-915AB型微机母线保护装置技术和使用说明书:[1]
阅读量:27
母线搭接方式
阅读量:102
猜你喜欢
烘焙工具什么牌子好
黄瓜籽粉的功效与作用
石榴皮的功效与作用
春季运动会
黄体酮的功效与作用
排卵期会有什么症状
什么是工商管理
八戒知识产权
魔芋的功效与作用禁忌
什么显卡好
猜你喜欢
美容知识面部皮肤学
一口钟的功效与作用
马齿苋图片功效与作用
什么牌子的狗粮好
四维彩超检查什么
葛根粉的作用与功效
九年级上册数学知识点
老公生日送什么礼物最好
洗衣机什么牌子最好
运动紧身衣