如何分析液压电阻管模块?
1、库:Hydraulic Elements。
如下图所示。

2、说明
液压阻性管块模拟具有圆形和非圆形截面的液压管道,并且只考虑阻力特性。换言之,块体是在稳态流体动量条件下发展起来的。模型中既没有考虑流体的可压缩性,也没有考虑流体的惯性,这意味着不能研究水锤等特征。如有必要,可以使用其他块向模型添加流体可压缩性、流体惯性和其他效果,从而生成更全面的模型。
假设水流沿整个管道长度充分发展,也不考虑端部效应。为了考虑局部阻力,如弯管、管件、入口和出口损耗等,将所有阻力换算成其等效长度,然后将所有阻力的总长度加到管道几何长度中。
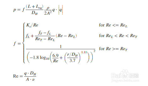
由摩擦引起的压力损失用达西方程计算,其中损失与流型可靠摩擦系数和流量的平方成正比。湍流区的摩擦系数用Haaland近似确定(见[1])。在层流到紊流过渡过程中,摩擦系数由流态极值点间的线性插值确定。根据这些假设,根据以下方程式模拟管子:

3、其中详细信息如下图所示。

4、变量
要在仿真之前设置块变量的优先级和初始目标值,请使用“块”对话框中的“变量”选项卡(或“块特性检查器”中的“变量”部分)。有关详细信息,请参见设置块变量的优先级和初始目标。

5、参数
型截面管
管道横截面类型:圆形或非圆形。对于圆管,可以指定其内径。对于非圆管,可以指定其水力直径和管横截面积。参数的默认值是循环的。
管子内径
管子内径。如果“管横截面类型”设置为“圆形”,则使用该参数。默认值为0.01 m。
非圆管横截面积
管子横截面积。如果“管横截面类型”设置为“非圆形”,则使用该参数。默认值为1e-4 m^2。
非圆管水力直径
管横截面的水力直径。如果“管横截面类型”设置为“非圆形”,则使用该参数。默认值为0.0112m。
几何形状因子
用于计算层流时的摩擦系数。管横截面的形状决定了该值。对于具有非圆形横截面的管,请将系数设置为适当的值,例如,方形为56,同心环为96,矩形为62(2:1),依此类推[1]。默认值为64,对应于具有圆形横截面的管。
管子长度
管几何长度。默认值为5 m。
局部阻力的总当量长度
此参数表示与管相关的所有局部阻力的总等效长度。通过向管道几何长度添加所有局部阻力的总等效长度,可以考虑局部阻力(例如弯管、管件、电枢、入口/出口损失等)引起的压力损失。默认值为1 m。
内表面粗糙度高度
管内表面的粗糙度高度。参数通常在数据表或制造商目录中提供。默认值为1.5e-5m,对应于绘制的管材。
层流上缘
指定假定层流状态开始转化为湍流的雷诺数。从数学上讲,这是充分发展层流时的最大雷诺数。默认值为2000。
湍流下缘
指定假定紊流状态完全发展的雷诺数。从数学上讲,这是湍流时的最小雷诺数。默认值为4000。

6、端口
块具有以下端口:
A与管入口相关联的液压储油口。
B与管出口相关联的液压储油口。
