如何分析三端口定容室模块?
1、库:Simscape / Foundation Library / Gas / Elements。
如下图所示。

2、说明
三端口定容室(G)块模拟气体网络中的质量和能量储存。燃烧室有三个端口和恒定体积的气体。外壳可以与连接的气体网络交换质量和能量,也可以与环境交换热量,允许其内部压力和温度随时间变化。压力和温度随气体体积的压缩性和热容量而变化。
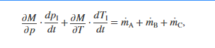
3、质量平衡
质量守恒将质量流量与代表气体体积的内部节点的压力和温度动态联系起来:

4、其中详细信息如下图所示。

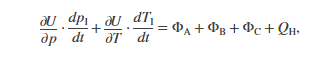
5、能量平衡
能量守恒将能量和热流量与代表气体体积的内部节点的压力和温度动态联系起来:

6、其中,详细信息如下图所示。

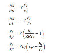
7、完全和半完全气体模型的偏导数
气体质量M和内能U对定容压力和温度的偏导数依赖于气体性质模型。对于完美和半完美气体模型,方程如下:

8、其中详细信息如下图所示。

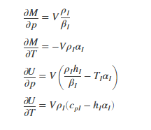
9、真实气体模型的偏导数
对于真实气体模型,质量M和气体体积内能U相对于定容压力和温度的偏导数为:

10、β是气体体积的等温体积模量。
α是气体体积的等压热膨胀系数。
11、变量
要在仿真之前设置块变量的优先级和初始目标值,请使用“块”对话框中的“变量”选项卡(或“块特性检查器”中的“变量”部分)。有关详细信息,请参见设置块变量的优先级和初始目标以及具有有限气体体积的块的初始条件。

12、假设和限制
室壁非常坚固。
端口A、B和C与腔室内部之间没有流动阻力。
端口H和腔室内部之间没有热阻。
13、A-腔室入口
与一个腔室入口相关的气体保存端口。
B-腔室入口
与一个腔室入口相关的气体保存端口。
C-腔室入口
与一个腔室入口相关的气体保存端口。
H-室内温度
与室内气体温度相关的保温端口。

14、燃烧室容积——腔室中的气体体积
0.001 m^3(默认)
室内气体的体积。试验箱是刚性的,因此在模拟过程中其体积是恒定的。假设燃烧室始终充满气体。
端口A处的横截面积-垂直于腔室入口A处流道的面积
0.01 m^2(默认)
垂直于气流路径方向的腔室入口A的横截面积。
端口B处的横截面积-垂直于腔室入口B处流道的面积
0.01 m^2(默认)
垂直于气流路径方向的腔室入口B的横截面积。
端口C处的横截面积-垂直于腔室入口C处流道的面积
0.01 m^2(默认)
垂直于气流路径方向的腔室入口C的横截面积。
