如何分析定容液压室模型?
1、库:Hydraulic Elements
如下图所示。

2、说明
定容液压腔块是一个具有刚性或柔性壁的定容腔,用于液压阀、泵、歧管、管道、软管等。在需要考虑某种形式的流体可压缩性的模型中使用此块。可以使用块参数选择适当的流体可压缩性表示。
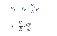
根据以下方程式模拟最简单形式的流体压缩性:

3、其中详细信息下图所示。

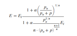
4、如果腔室中的压力可能下降到负值并接近空化极限,则必须加强上述方程。在该区块中,通过将室内流体表示为液体和少量夹带的未溶解气体的混合物来实现。混合料体积模量确定为:

5、其中详细信息下图所示。

6、将流体表示为液体和气体的混合物的主要目的是引入一个空化的近似模型,当压力下降到流体蒸汽饱和水平以下时,空化发生在腔室中。如下图所示,混合物的体积模量随着表压接近零而降低,从而大大减缓了压力的进一步变化。在表压远高于零的情况下,少量的未溶解气体对系统性能几乎没有影响。

7、要重现此图形,请在MATLAB®命令窗口中复制并粘贴以下脚本:

声明:本网站引用、摘录或转载内容仅供网站访问者交流或参考,不代表本站立场,如存在版权或非法内容,请联系站长删除,联系邮箱:site.kefu@qq.com。
阅读量:74
阅读量:152
阅读量:142
阅读量:157
阅读量:144