指南生活
首页
美食营养
手工爱好
生活家居
返回
指南生活
首页
美食营养
游戏数码
手工爱好
生活家居
健康养生
运动户外
职场理财
情感交际
母婴教育
时尚美容
搜索
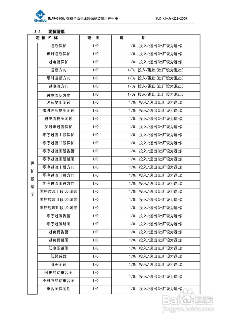
MLPR-610Hb微机型线路保护测控装置用户手册:[2]
2025-10-20 17:58:09
本篇为《MLPR-610Hb微机型线路保护测控装置用户手册》,主要介绍该产品的使用方法以及常见故障解决方案。
(共篇)
上一篇:
|
下一篇:
声明:
本网站引用、摘录或转载内容仅供网站访问者交流或参考,不代表本站立场,如存在版权或非法内容,请联系站长删除,联系邮箱:site.kefu@qq.com。
相关推荐
MLPR-610Hb微机型线路保护测控装置用户手册:[3]
阅读量:53
微机继电保护测试仪软件操作方法
阅读量:183
MLPR-610Hb微机型线路保护测控装置用户手册:[4]
阅读量:122
MCPR-610Hb微机型电容器保护测控装置用户手册:[2]
阅读量:24
MCPR-610Hb微机型电容器保护测控装置用户手册:[4]
阅读量:104
猜你喜欢
胡萝卜的做法大全
宝宝一直打嗝怎么办
简单的折纸大全图解
江西农业大学怎么样
叶罗丽精灵梦图片大全
怎么分辨乌龟公母
俞敏洪简介人生经历
360影视大全下载
店宝宝怎么样
用酸奶机怎么做酸奶
猜你喜欢
奇瑞瑞虎3怎么样
停车小游戏大全
新浪微博怎么看访客
个人年终总结范文大全
感冒头疼怎么办最快最有效
花纹板理论重量表大全
英文地址怎么写
怎么训练狗
三星手机价格大全
草原歌曲大全100首